Официальное опубликование правовых актов
ОФИЦИАЛЬНОЕ ОПУБЛИКОВАНИЕ
Приказ Министерства градостроительной деятельности и развития агломераций Нижегородской области от 23.09.2025 № 06-01-03/36
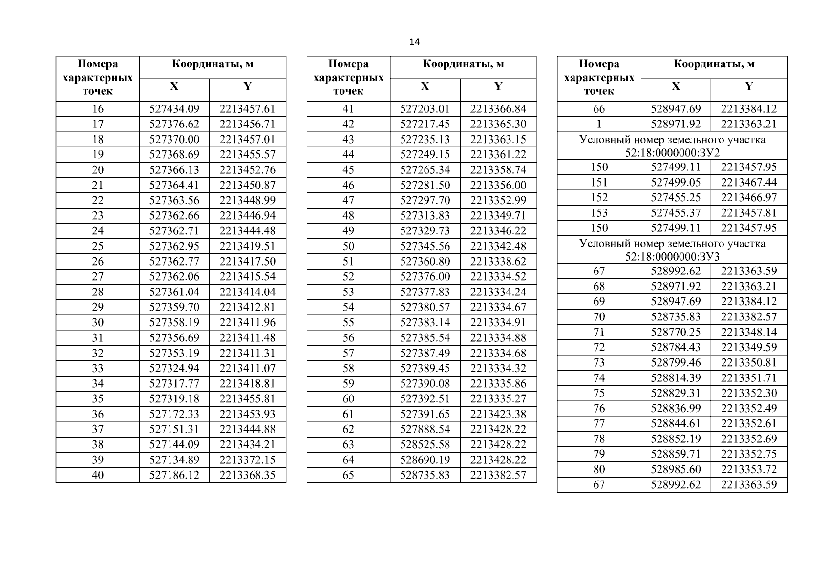
"Об утверждении документации по внесению изменений в документацию по планировке территории (проект планировки и межевания территории), расположенной вдоль левого берега р. Ока от дома 96 по ул. Интернациональной до ул. Воротынская (в районе Молитовского моста) в Канавинском, Ленинском районах города Нижнего Новгорода"
(Зарегистрирован 22.10.2025 № 28843-330-006-01-03/36)
Номер опубликования: 5201202510240001
Дата опубликования: 24.10.2025
Страница №16 из 18:
Увеличить