Официальное опубликование правовых актов
ОФИЦИАЛЬНОЕ ОПУБЛИКОВАНИЕ
Приказ Министерства градостроительной деятельности и развития агломераций Нижегородской области от 23.07.2025 № 06-01-03/28
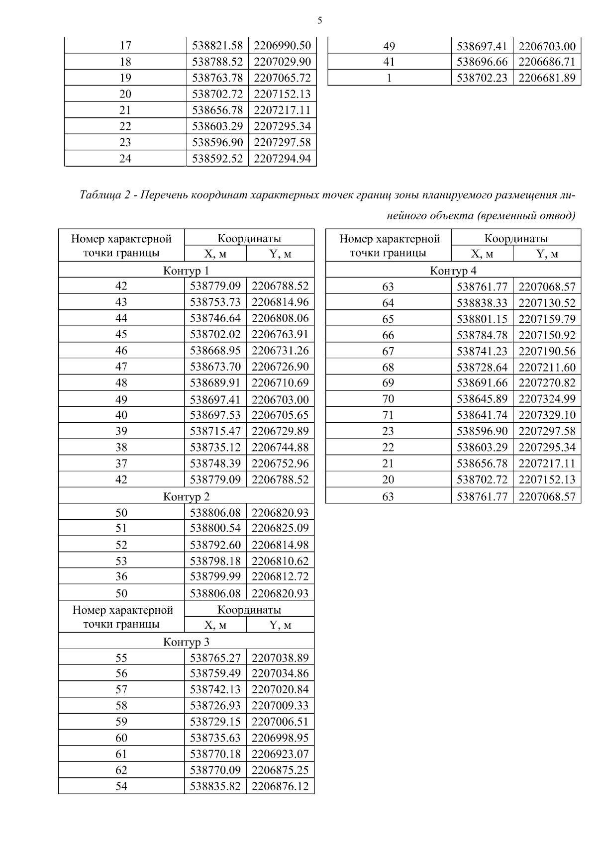
"Об утверждении документации по планировке и межеванию территории, расположенной в акватории р. Волга, в 180 м по направлению на северо-восток от границ земельного участка с кадастровым номером 52:18:0000000:104"
(Зарегистрирован 08.09.2025 № 28622-330-006-01-03/28)
Номер опубликования: 5201202509100013
Дата опубликования: 10.09.2025
Страница №7 из 26:
Увеличить