Официальное опубликование правовых актов
ОФИЦИАЛЬНОЕ ОПУБЛИКОВАНИЕ
Приказ Министерства градостроительной деятельности и развития агломераций Нижегородской области от 15.07.2025 № 06-01-03/24
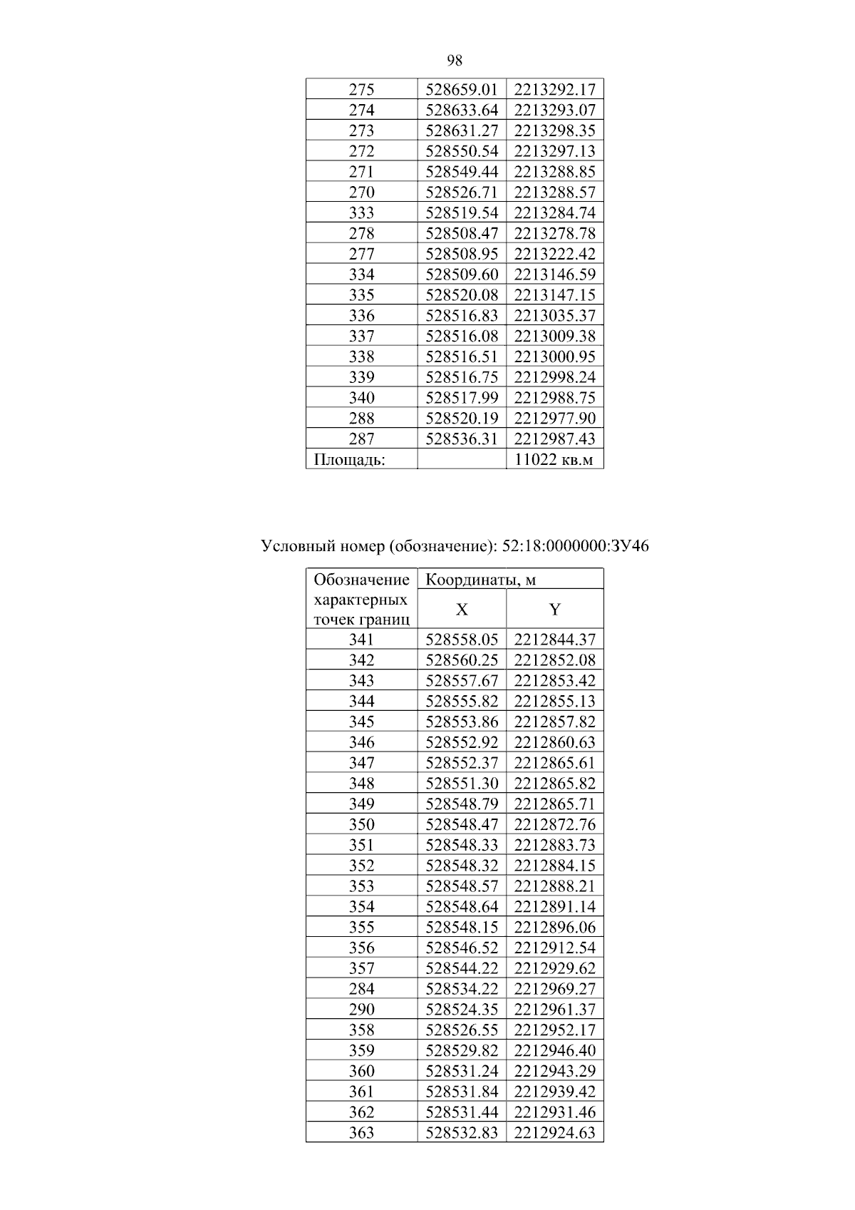
"Об утверждении документации по планировке территории (проект планировки территории, включая проект межевания территории), расположенной от улицы Советской до Молитовского моста в Канавинском и Ленинском районах города Нижнего Новгорода"
(Зарегистрирован 01.09.2025 № 28604-330-006-01-03/24)
Номер опубликования: 5201202509040001
Дата опубликования: 04.09.2025
Страница №100 из 112:
Увеличить