Официальное опубликование правовых актов
ОФИЦИАЛЬНОЕ ОПУБЛИКОВАНИЕ
Приказ Министерства градостроительной деятельности и развития агломераций Нижегородской области от 23.06.2025 № 06-01-03/21
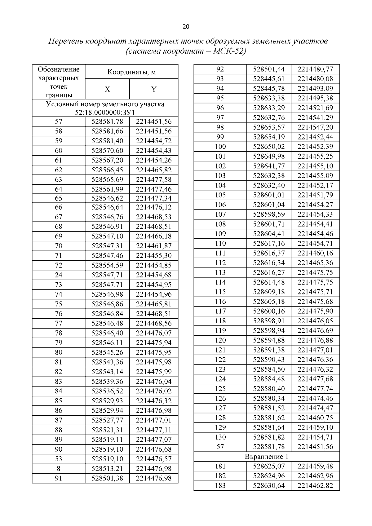
"Об утверждении документации по планировке (проект планировки и межевания) территории, расположенной по ул. Елецкая, Енисейская, Барминская в Советском районе города Нижнего Новгорода"
(Зарегистрирован 08.07.2025 № 28402-330-006-01-03/21)
Номер опубликования: 5201202507090005
Дата опубликования: 09.07.2025
Страница №22 из 28:
Увеличить