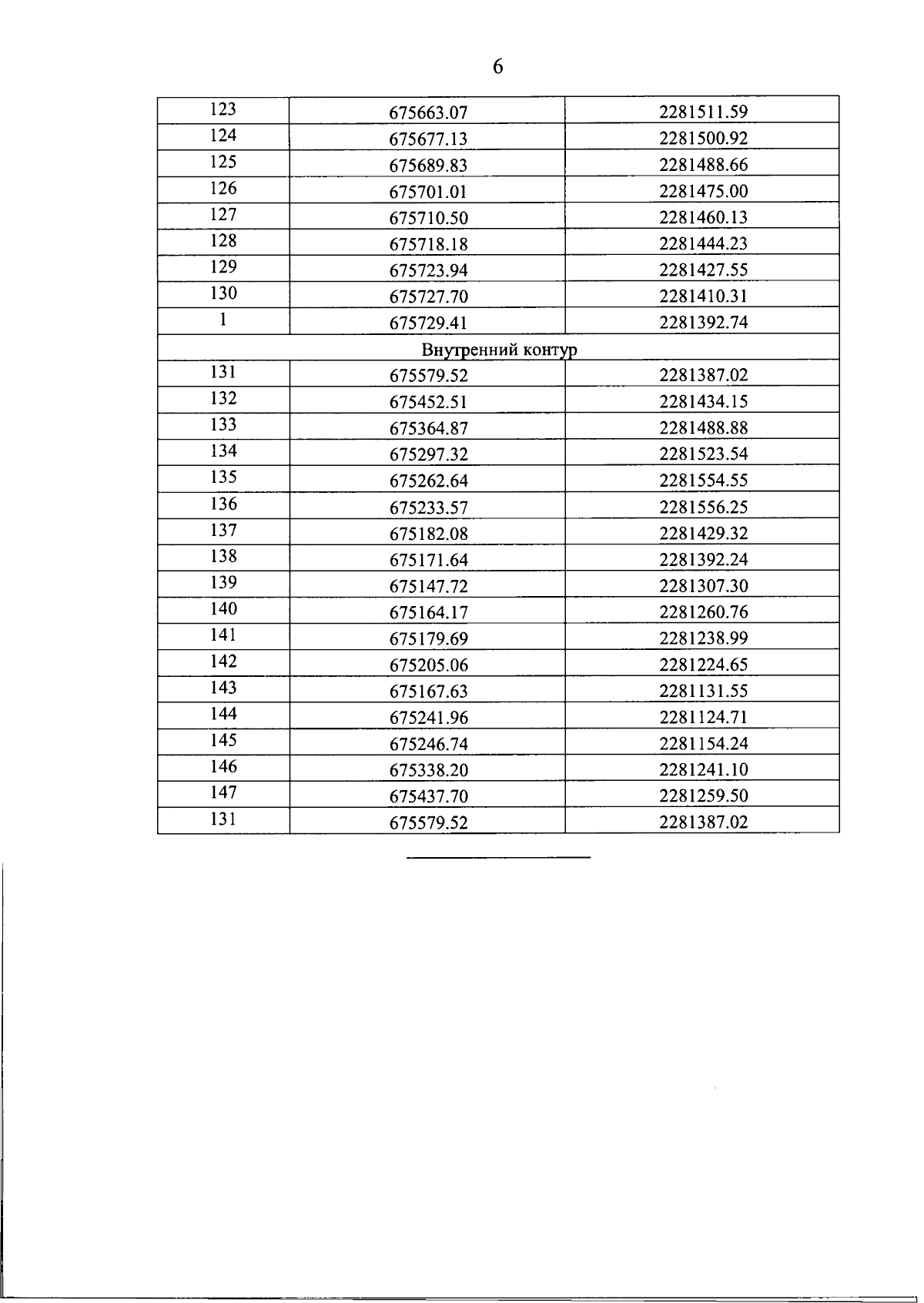
Приказ Управления государственной охраны объектов культурного наследия Нижегородской области от 15.05.2025 № 88
"Об утверждении описания местоположения границ защитной зоны объекта культурного наследия регионального значения "Усадьба Базилевских" (Нижегородская область, Варнавинский муниципальный округ, с. Горки)"
(Зарегистрирован 09.06.2025 № 28234-518-088)
"Об утверждении описания местоположения границ защитной зоны объекта культурного наследия регионального значения "Усадьба Базилевских" (Нижегородская область, Варнавинский муниципальный округ, с. Горки)"
(Зарегистрирован 09.06.2025 № 28234-518-088)
Номер опубликования: 5201202506110008
Дата опубликования:
11.06.2025
