Официальное опубликование правовых актов
ОФИЦИАЛЬНОЕ ОПУБЛИКОВАНИЕ
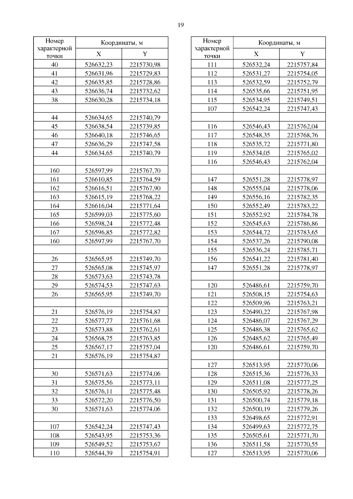
Приказ Министерства градостроительной деятельности и развития агломераций Нижегородской области от 14.05.2025 № 06-01-03/17
"Об утверждении документации по планировке (проект планировки и межевания) территории, расположенной по ул. Пушкина от ул. Артельная до ул. Бекетова в Советском районе города Нижнего Новгорода"
(Зарегистрирован 05.06.2025 № 28213-330-006-01-03/17)
Номер опубликования: 5201202506060004
Дата опубликования: 06.06.2025
Страница №21 из 63:
Увеличить