Официальное опубликование правовых актов
ОФИЦИАЛЬНОЕ ОПУБЛИКОВАНИЕ
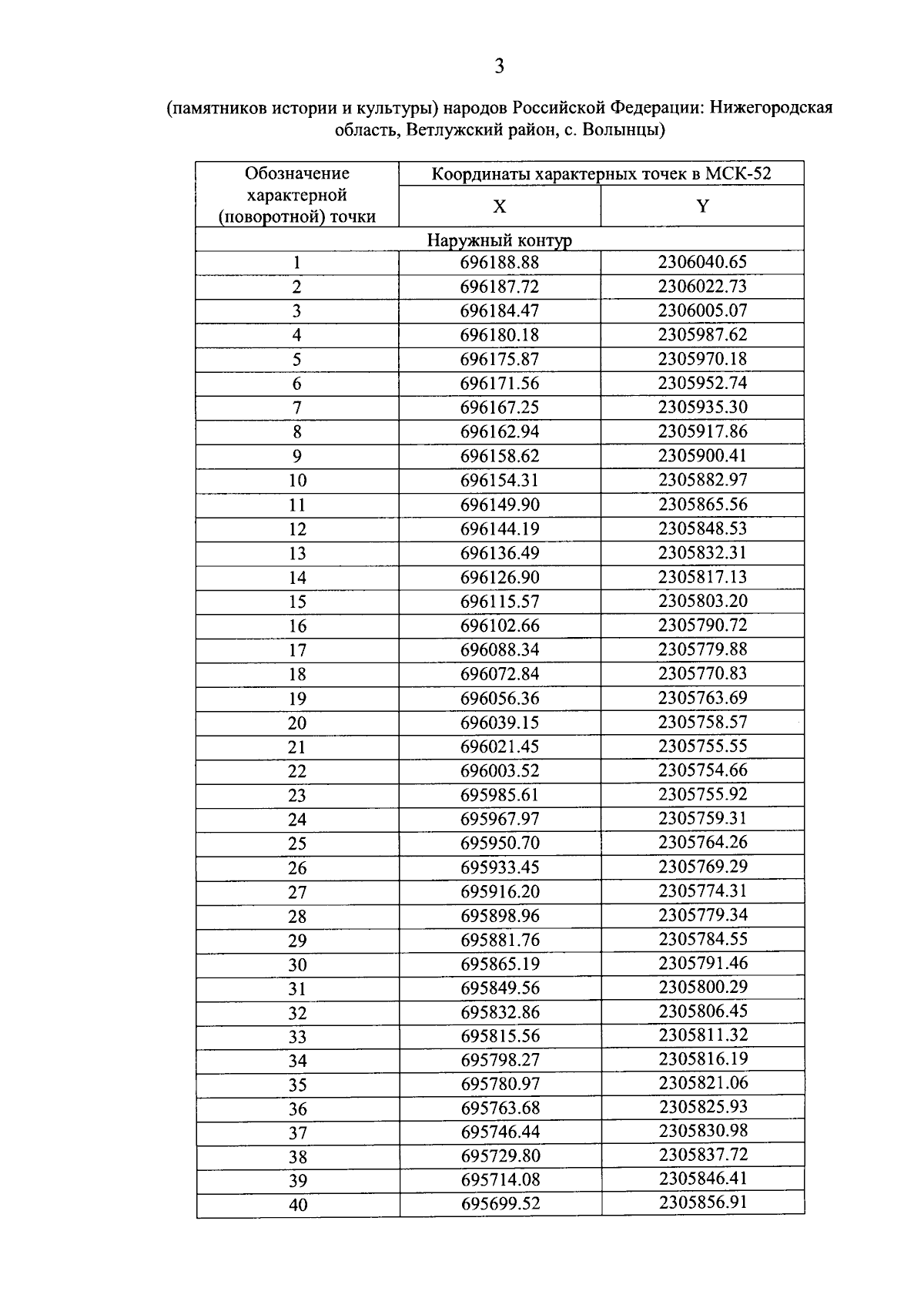
Приказ Управления государственной охраны объектов культурного наследия Нижегородской области от 03.03.2025 № 33
"О внесении изменения в приказ управления государственной охраны объектов культурного наследия Нижегородской области от 10.11.2020 № 354"
(Зарегистрирован 20.03.2025 № 27830-518-033)
Номер опубликования: 5201202503210002
Дата опубликования: 21.03.2025
Страница №4 из 6:
Увеличить