Официальное опубликование правовых актов
ОФИЦИАЛЬНОЕ ОПУБЛИКОВАНИЕ
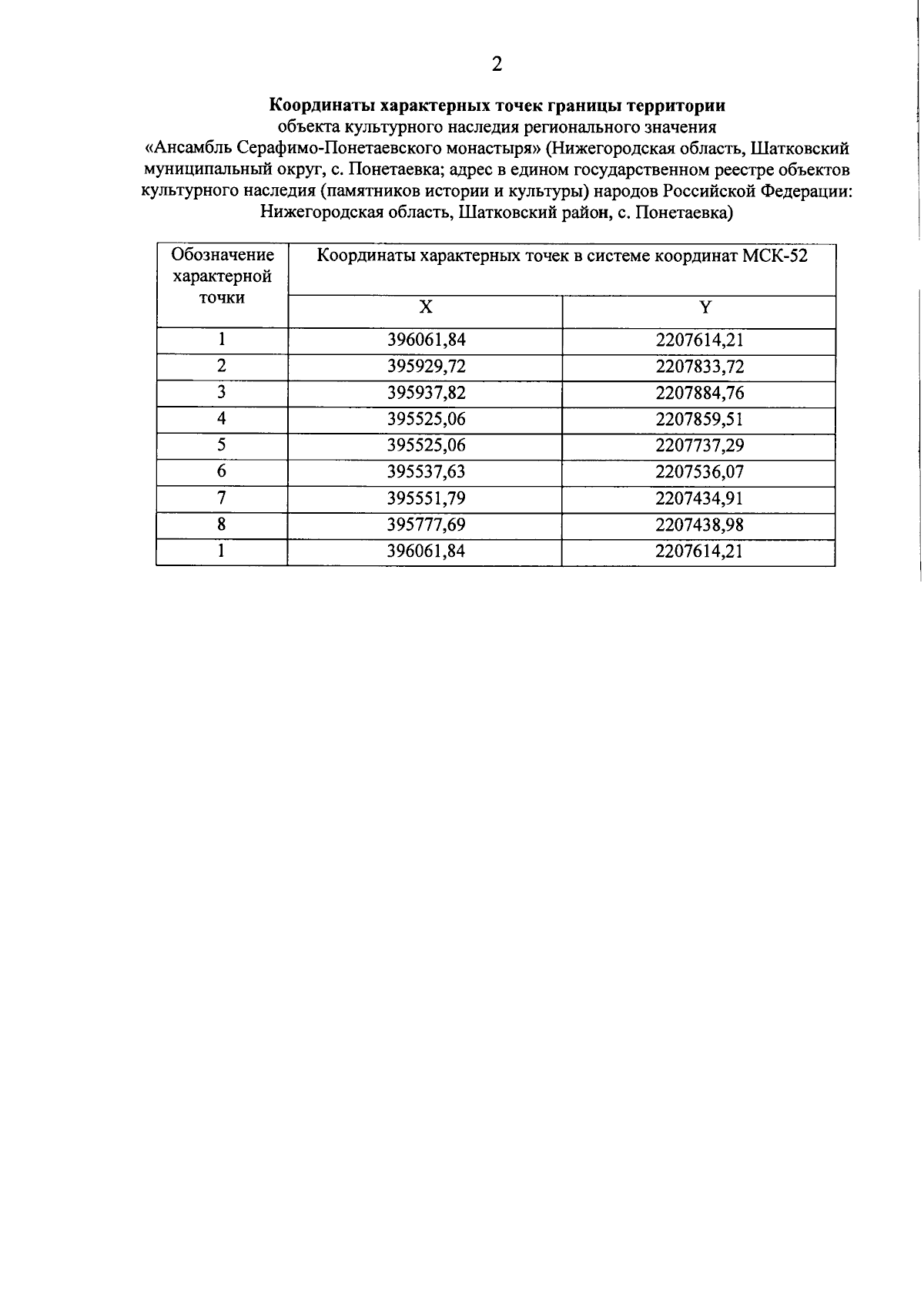
Приказ Управления государственной охраны объектов культурного наследия Нижегородской области от 12.02.2025 № 15
"Об утверждении границы и режима использования территории объекта культурного наследия регионального значения "Ансамбль Серафимо-Понетаевского монастыря" (Нижегородская область, Шатковский муниципальный округ, с. Понетаевка)"
(Зарегистрирован 03.03.2025 № 27724-518-015)
Номер опубликования: 5201202503060014
Дата опубликования: 06.03.2025
Страница №4 из 6:
Увеличить