Официальное опубликование правовых актов
ОФИЦИАЛЬНОЕ ОПУБЛИКОВАНИЕ
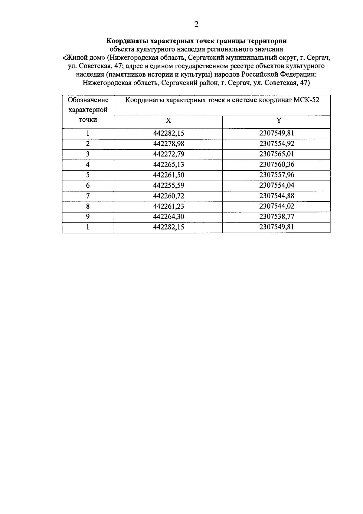
Приказ Управления государственной охраны объектов культурного наследия Нижегородской области от 12.02.2025 № 17
"Об утверждении границы и режима использования территории объекта культурного наследия регионального значения "Жилой дом" (Нижегородская область, Сергачский муниципальный округ, г. Сергач, ул. Советская, 47)"
(Зарегистрирован 03.03.2025 № 27726-518-017)
Номер опубликования: 5201202503060002
Дата опубликования: 06.03.2025
Страница №4 из 7:
Увеличить