Официальное опубликование правовых актов
ОФИЦИАЛЬНОЕ ОПУБЛИКОВАНИЕ
Приказ Министерства градостроительной деятельности и развития агломераций Нижегородской области от 23.01.2025 № 06-01-03/2
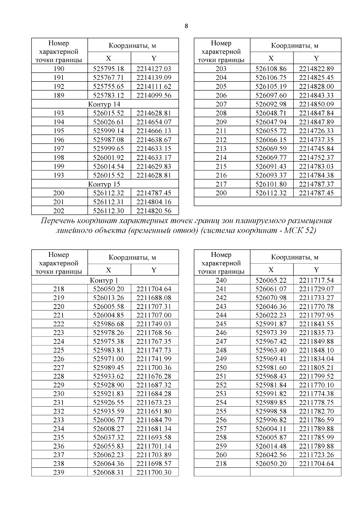
"Об утверждении документации по внесению изменений в документацию по планировке территории, расположенной от станции метро "Заречная" по бульвару Заречному через р.Ока до проспекта Гагарина, 31Г в Ленинском и Приокском районах городского округа город Нижний Новгород"
(Зарегистрирован 17.02.2025 № 27630-330-006-01-03/2)
Номер опубликования: 5201202502200003
Дата опубликования: 20.02.2025
Страница №10 из 38:
Увеличить