Официальное опубликование правовых актов
ОФИЦИАЛЬНОЕ ОПУБЛИКОВАНИЕ
Приказ Управления государственной охраны объектов культурного наследия Нижегородской области от 17.01.2025 № 5
"Об утверждении границ и режима использования территорий объектов культурного наследия регионального значения, расположенных в г. Нижнем Новгороде"
(Зарегистрирован 17.02.2025 № 27635-518-005)
Номер опубликования: 5201202502200002
Дата опубликования: 20.02.2025
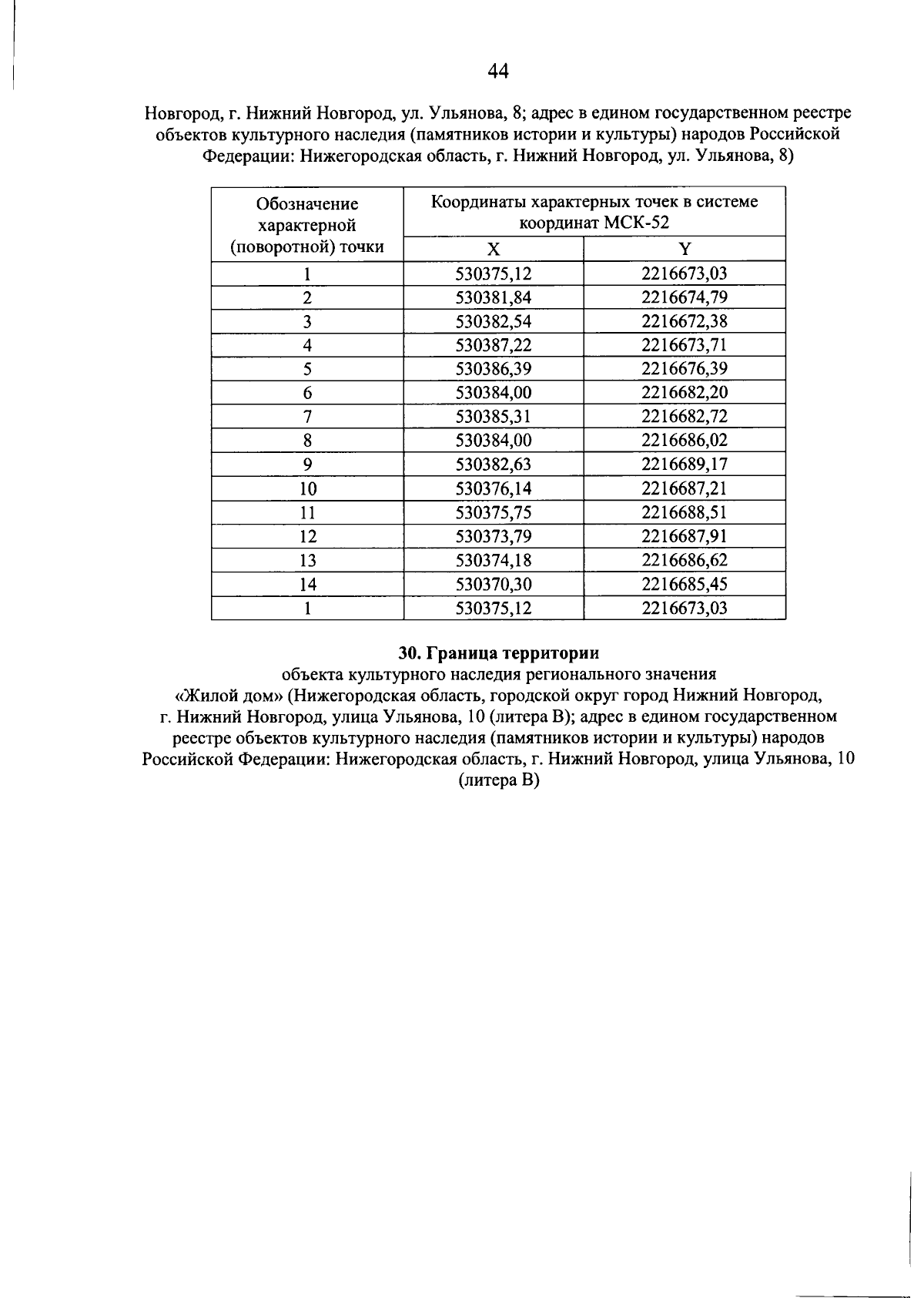
Страница №52 из 84:
Увеличить