Официальное опубликование правовых актов
ОФИЦИАЛЬНОЕ ОПУБЛИКОВАНИЕ
Приказ Министерства градостроительной деятельности и развития агломераций Нижегородской области от 08.11.2024 № 06-01-03/43
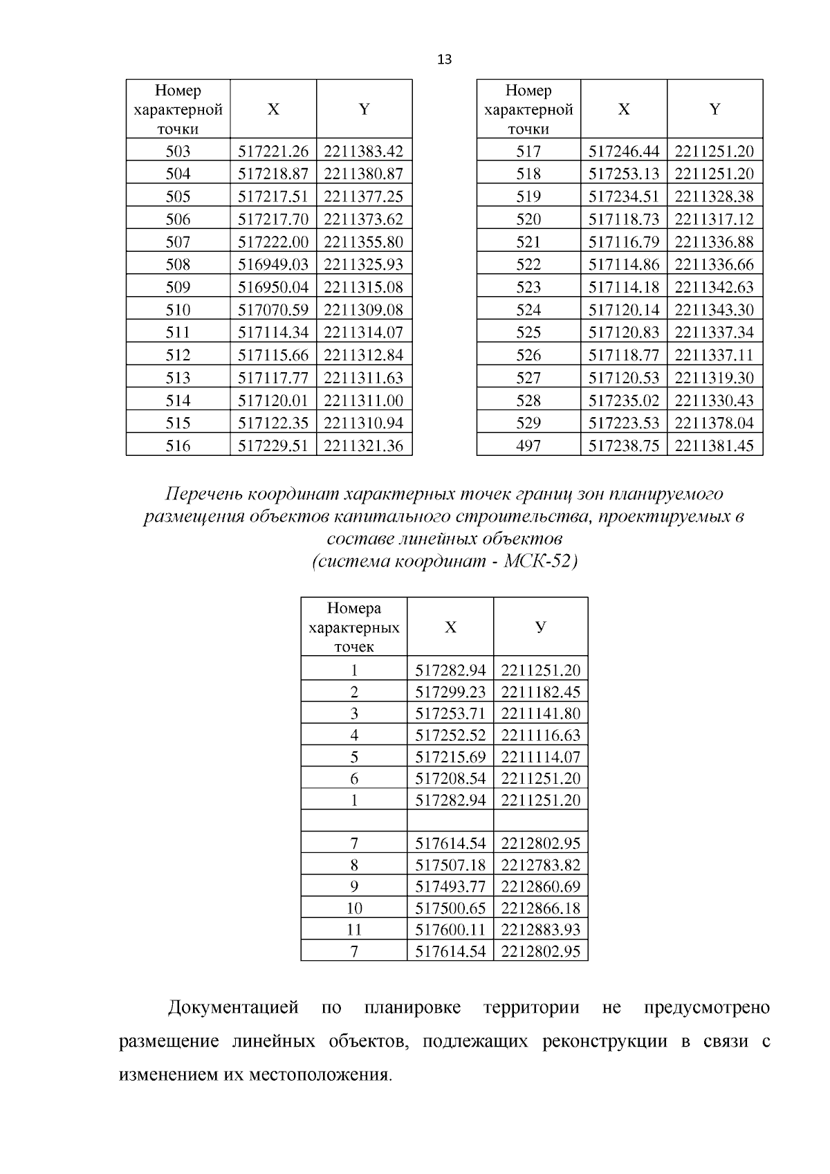
"Об утверждении документации по планировке территории, включая проект межевания территории, расположенной в границах городского округа города Нижний Новгород"
(Зарегистрирован 25.11.2024 № 26713-330-006-01-03/43)
Номер опубликования: 5201202411280010
Дата опубликования: 28.11.2024
Страница №15 из 31:
Увеличить