Официальное опубликование правовых актов
ОФИЦИАЛЬНОЕ ОПУБЛИКОВАНИЕ
Приказ Управления государственной охраны объектов культурного наследия Нижегородской области от 18.10.2024 № 227
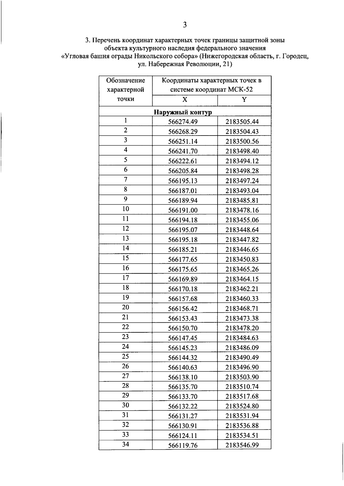
"Об установлении границы защитной зоны объекта культурного наследия федерального значения "Угловая башня ограды Никольского собора" (Нижегородская область, г. Городец, ул. Набережная Революции, 21) и утверждении режима использования земель в границе защитной зоны"
(Зарегистрирован 06.11.2024 № 26600-518-227)
Номер опубликования: 5201202411080003
Дата опубликования: 08.11.2024
Страница №5 из 7:
Увеличить