Официальное опубликование правовых актов
ОФИЦИАЛЬНОЕ ОПУБЛИКОВАНИЕ
Приказ Министерства градостроительной деятельности и развития агломераций Нижегородской области от 18.09.2024 № 06-01-03/37
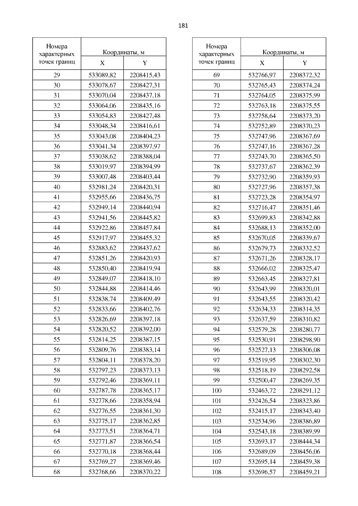
"Об утверждении документации по внесению изменений в документацию по планировке (проект планировки и межевания) территории, расположенной по ул. Станционная, ул. Коминтерна, Сормовскому шоссе, ул. Бурнаковская в Сормовском и Московском районах г.о.г. Нижний Новгород"
(Зарегистрирован 23.09.2024 № 26358-330-006-01-03/37)
Номер опубликования: 5201202409250007
Дата опубликования: 25.09.2024
Страница №183 из 189:
Увеличить