Официальное опубликование правовых актов
ОФИЦИАЛЬНОЕ ОПУБЛИКОВАНИЕ
Приказ Управления государственной охраны объектов культурного наследия Нижегородской области от 06.09.2024 № 200
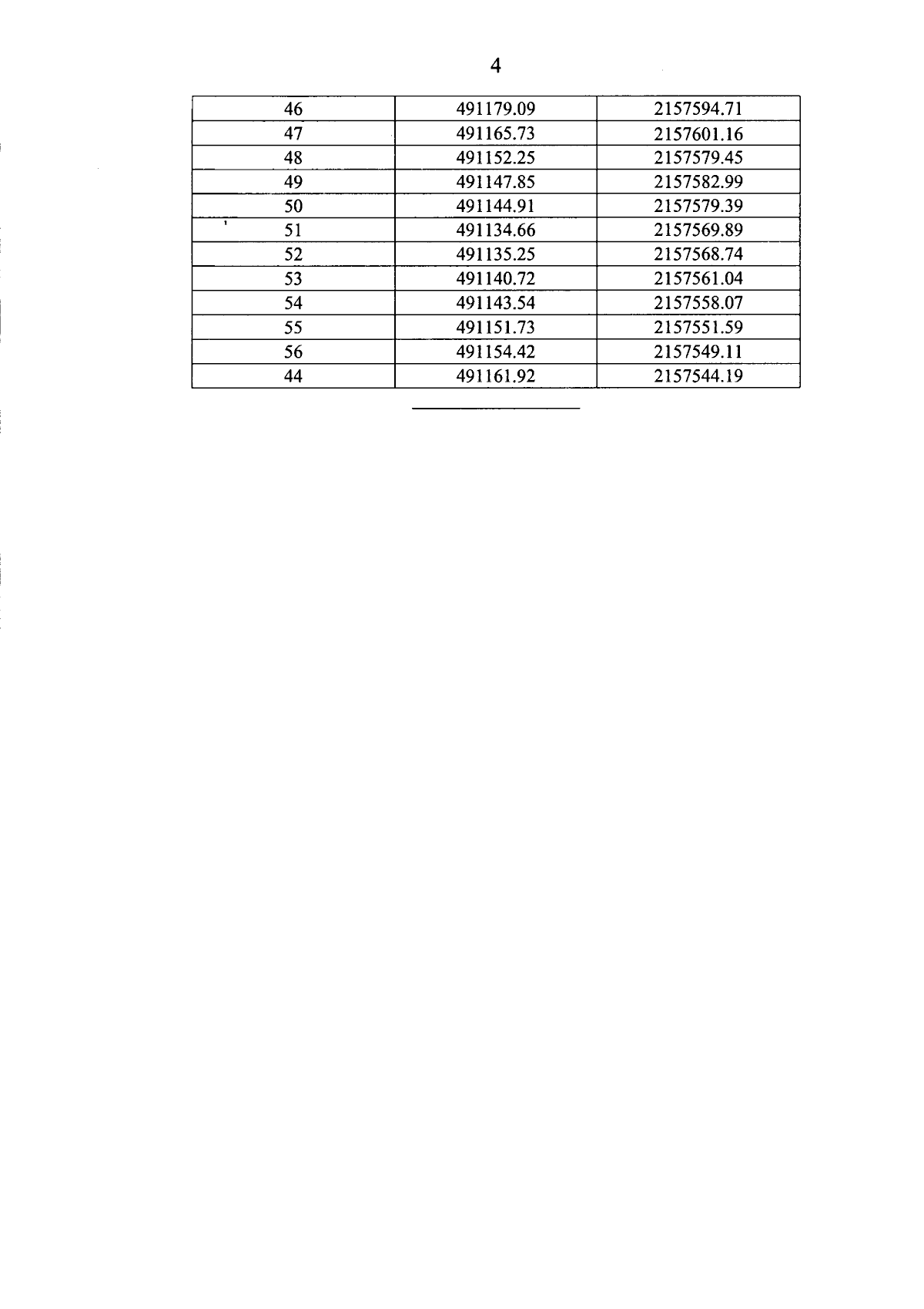
"Об утверждении описания местоположения границы защитной зоны объекта культурного наследия регионального значения "Общественный дом с торговым помещением" (Нижегородская область, Павловский муниципальный округ, г. Павлово, ул. Нижегородская, 17), режима использования земель в границах защитной зоны объекта культурного наследия"
(Зарегистрирован 23.09.2024 № 26350-518-200)
Номер опубликования: 5201202409250001
Дата опубликования: 25.09.2024
Страница №6 из 7:
Увеличить