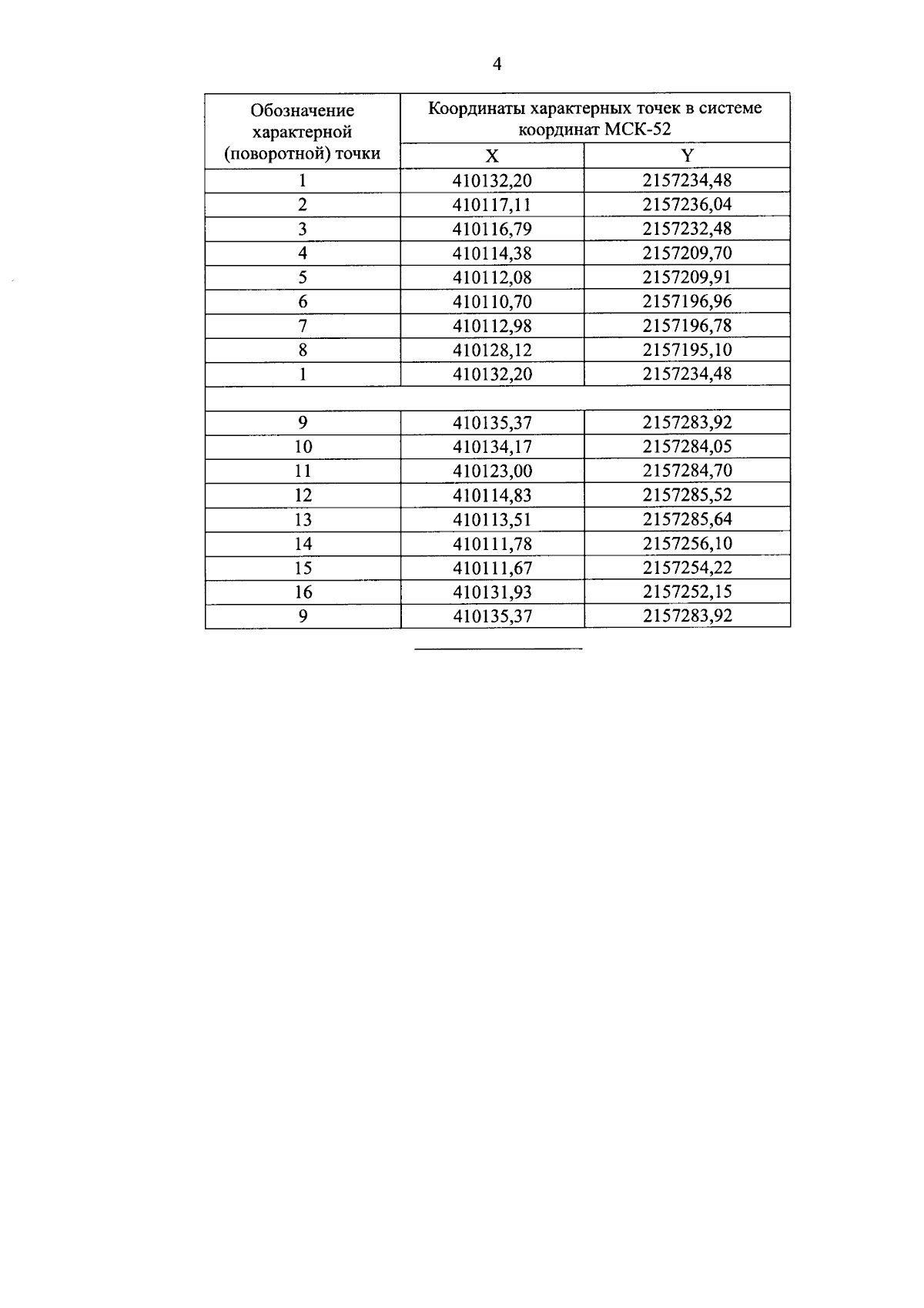
Приказ Управления государственной охраны объектов культурного наследия Нижегородской области от 22.08.2024 № 196
"Об утверждении границ и режима использования территорий объектов культурного наследия регионального значения, расположенных в р.п. Ардатов Нижегородской области"
(Зарегистрирован 12.09.2024 № 26298-518-196)
"Об утверждении границ и режима использования территорий объектов культурного наследия регионального значения, расположенных в р.п. Ардатов Нижегородской области"
(Зарегистрирован 12.09.2024 № 26298-518-196)
Номер опубликования: 5201202409130001
Дата опубликования:
13.09.2024
