Официальное опубликование правовых актов
ОФИЦИАЛЬНОЕ ОПУБЛИКОВАНИЕ
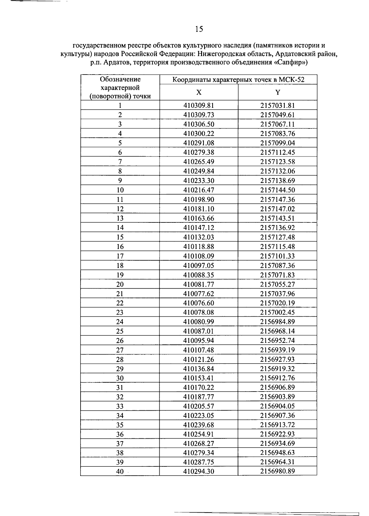
Приказ Управления государственной охраны объектов культурного наследия Нижегородской области от 04.07.2024 № 169
"О внесении изменений в приказ управления государственной охраны объектов культурного наследия Нижегородской области от 28.10.2020 № 334"
(Зарегистрирован 29.07.2024 № 26022-518-169)
Номер опубликования: 5201202407310005
Дата опубликования: 31.07.2024
Страница №16 из 17:
Увеличить