Официальное опубликование правовых актов
ОФИЦИАЛЬНОЕ ОПУБЛИКОВАНИЕ
Приказ Министерства градостроительной деятельности и развития агломераций Нижегородской области от 26.04.2024 № 06-01-03/16
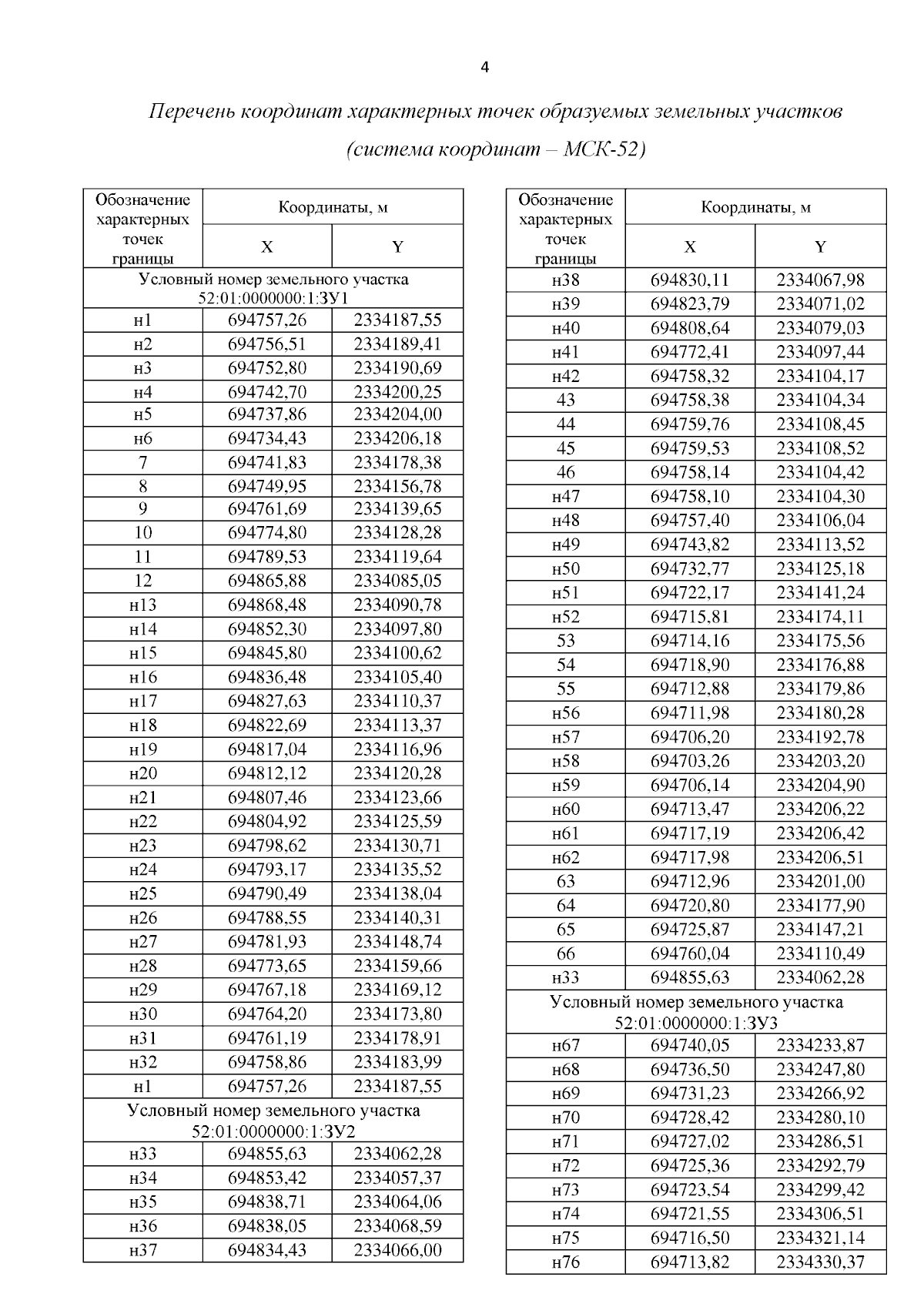
"Об утверждении проекта межевания территории участка автомобильной дороги (22 ОП РЗ 22К-0078) а/д Н. Новгород - Шахунья - Киров - д. Никитиха -с. Новоуспенское - а/д Урень - Шарья -Никольск - Котлас с искусственным сооружением через р. Юрьевка на км 29+895 в Ветлужском муниципальном округе Нижегородской области"
(Зарегистрирован 23.05.2024 № 25573-330-006-01-03/16)
Номер опубликования: 5201202405240001
Дата опубликования: 24.05.2024
Страница №6 из 19:
Увеличить