Официальное опубликование правовых актов
ОФИЦИАЛЬНОЕ ОПУБЛИКОВАНИЕ
Приказ Министерства экологии и природных ресурсов Нижегородской области от 02.05.2024 № 319-104/24П/од
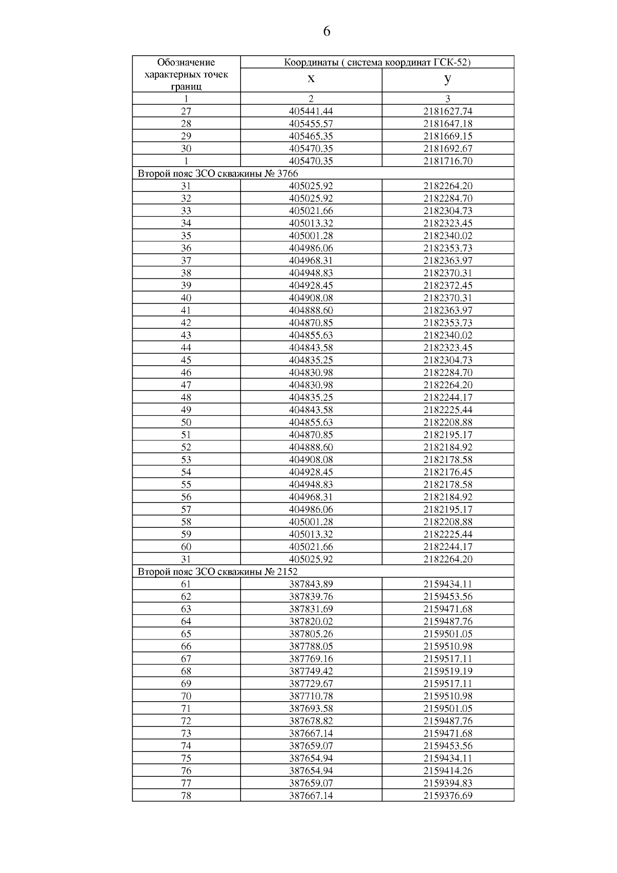
"Об установлении зон санитарной охраны водозаборного участка МП "Дивеевское ЖКХ", расположенного в с. Березино, с. Конново, д. Полупочинки Дивеевского муниципального округа Нижегородской области"
(Зарегистрирован 20.05.2024 № 25562-319-319-104/24П/од)
Номер опубликования: 5201202405220004
Дата опубликования: 22.05.2024
Страница №8 из 11:
Увеличить