Официальное опубликование правовых актов
ОФИЦИАЛЬНОЕ ОПУБЛИКОВАНИЕ
Приказ Министерства градостроительной деятельности и развития агломераций Нижегородской области от 01.04.2024 № 06-01-03/11
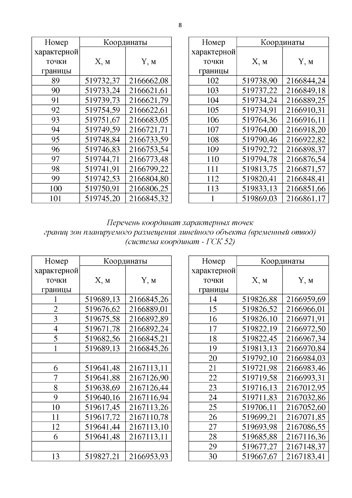
"Об утверждении документации по внесению изменений в документацию по планировке территории в районе пересечения автомобильной дороги (22 ОП РЗ 22К-0026) Дзержинск - Володарск - Ильино - а/д М-7 "Волга" и автомобильной дороги (22 ОП РЗ 22К-1414) Подъезд к г. Володарск от а/д Дзержинск - Володарск - Ильино - а/д М-7 "Волга" в Володарском районе Нижегородской области"
(Зарегистрирован 06.05.2024 № 25504-330-006-01-03/11)
Номер опубликования: 5201202405070002
Дата опубликования: 07.05.2024
Страница №10 из 25:
Увеличить