Официальное опубликование правовых актов
ОФИЦИАЛЬНОЕ ОПУБЛИКОВАНИЕ
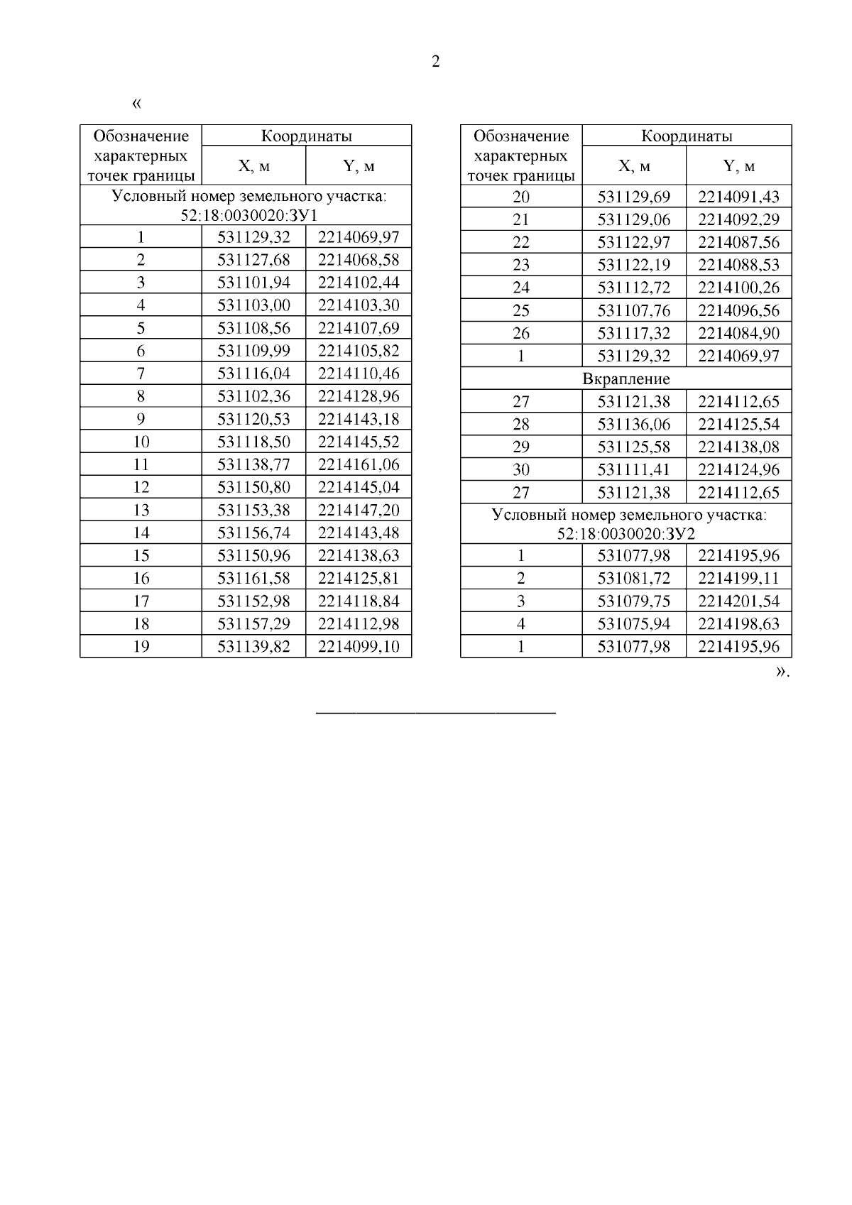
Приказ Министерства градостроительной деятельности и развития агломераций Нижегородской области от 28.03.2024 № 06-01-03/10
"О внесении изменений в приказ министерства градостроительной деятельности и развития агломераций Нижегородской области от 2 июня 2023 г. № 06-01-03/21"
(Зарегистрирован 06.05.2024 № 25503-330-006-01-03/10)
Номер опубликования: 5201202405070001
Дата опубликования: 07.05.2024
Страница №4 из 4:
Увеличить