Официальное опубликование правовых актов
ОФИЦИАЛЬНОЕ ОПУБЛИКОВАНИЕ
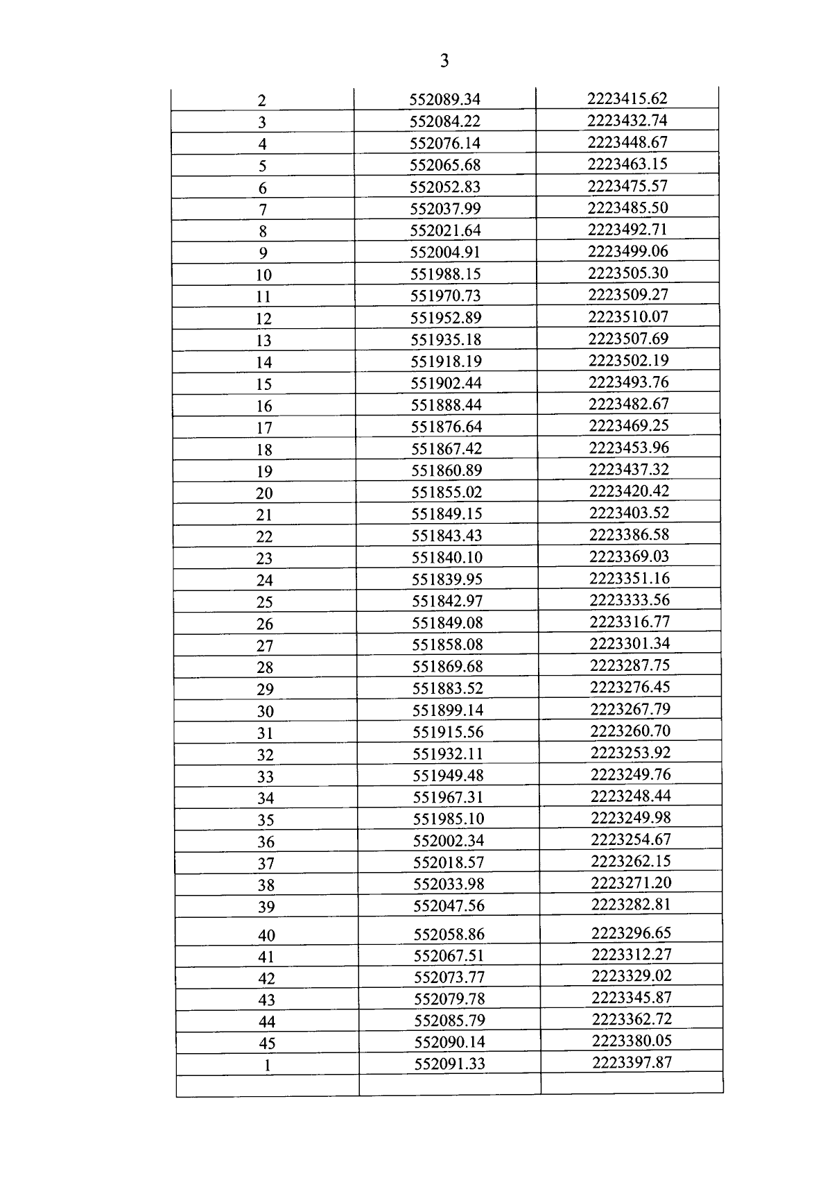
Приказ Управления государственной охраны объектов культурного наследия Нижегородской области от 04.04.2024 № 106
"О внесении изменений в приказ управления государственной охраны объектов культурного наследия Нижегородской области от 16.07.2020 № 201"
(Зарегистрирован 25.04.2024 № 25477-518-106)
Номер опубликования: 5201202404260002
Дата опубликования: 26.04.2024
Страница №4 из 5:
Увеличить