Официальное опубликование правовых актов
ОФИЦИАЛЬНОЕ ОПУБЛИКОВАНИЕ
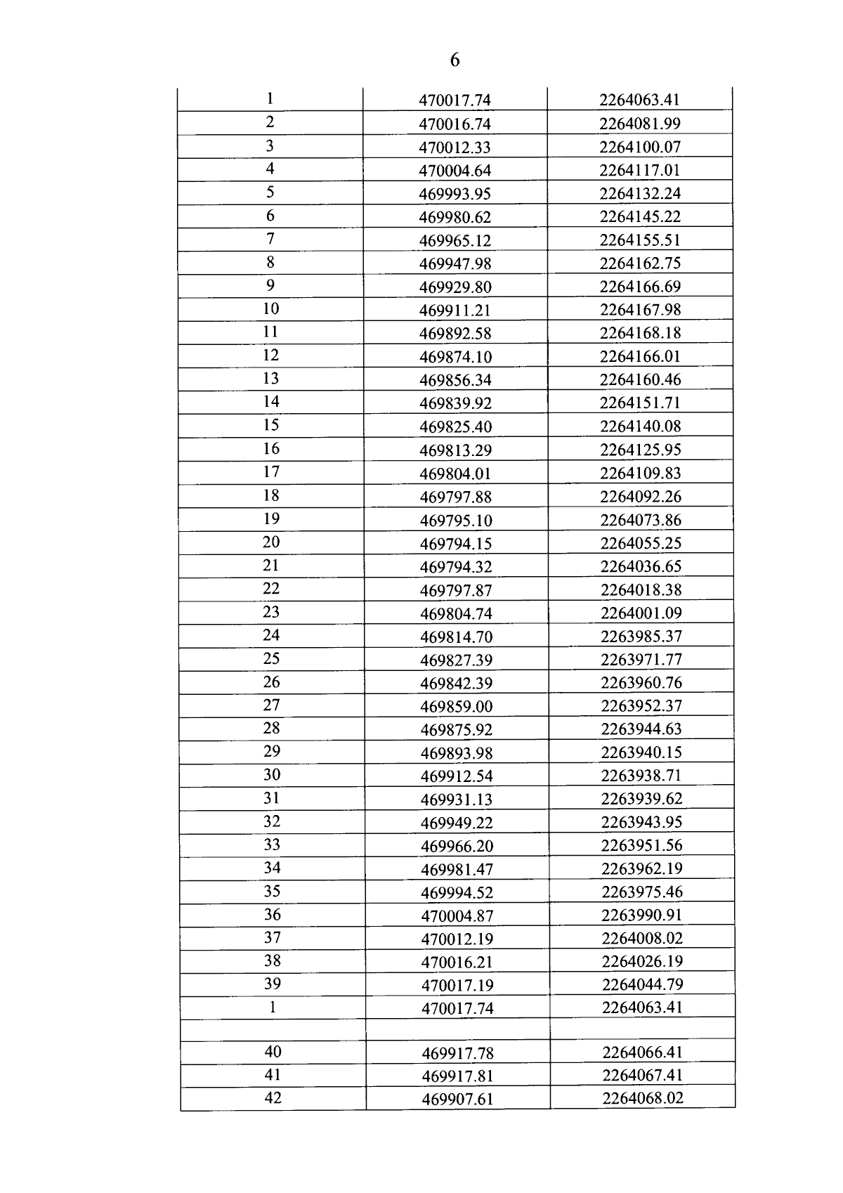
Приказ Управления государственной охраны объектов культурного наследия Нижегородской области от 27.03.2024 № 91
"О внесении изменений в приказ управления государственной охраны объектов культурного наследия Нижегородской области от 04.12.2020 № 379"
(Зарегистрирован 03.04.2024 № 25341-518-091)
Номер опубликования: 5201202404090002
Дата опубликования: 09.04.2024
Страница №7 из 8:
Увеличить