Официальное опубликование правовых актов
ОФИЦИАЛЬНОЕ ОПУБЛИКОВАНИЕ
Приказ Министерства градостроительной деятельности и развития агломераций Нижегородской области от 24.11.2023 № 06-01-03/48
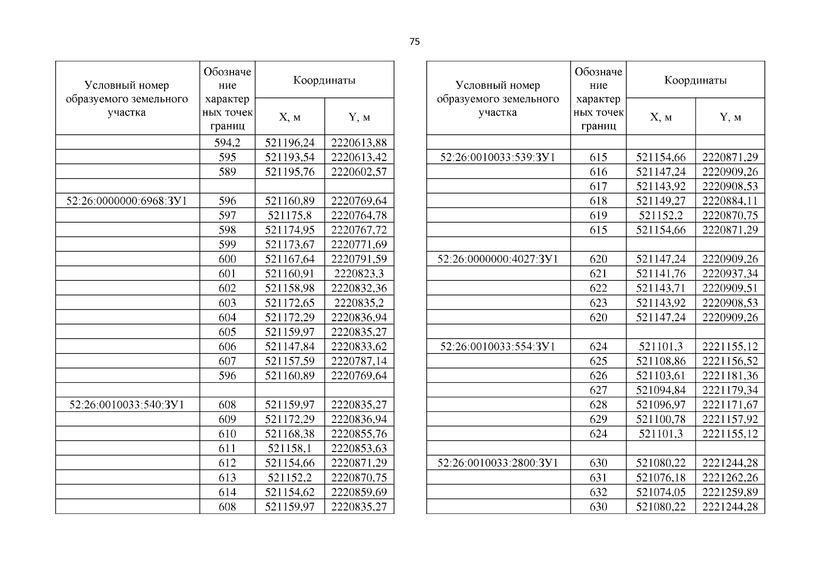
"Об утверждении документации по планировке (проект планировки и межевания) территории, расположенной в районе деревень Ржавка, Утечино в Кстовском муниципальном округе Нижегородской области и юго-восточной части г.о.г. Нижний Новгород"
(Зарегистрирован 15.01.2024 № 24897-330-006-01-03/48)
Номер опубликования: 5201202401170011
Дата опубликования: 17.01.2024
Страница №77 из 98:
Увеличить