Официальное опубликование правовых актов
ОФИЦИАЛЬНОЕ ОПУБЛИКОВАНИЕ
Приказ Министерства градостроительной деятельности и развития агломераций Нижегородской области от 21.11.2023 № 06-01-03/46
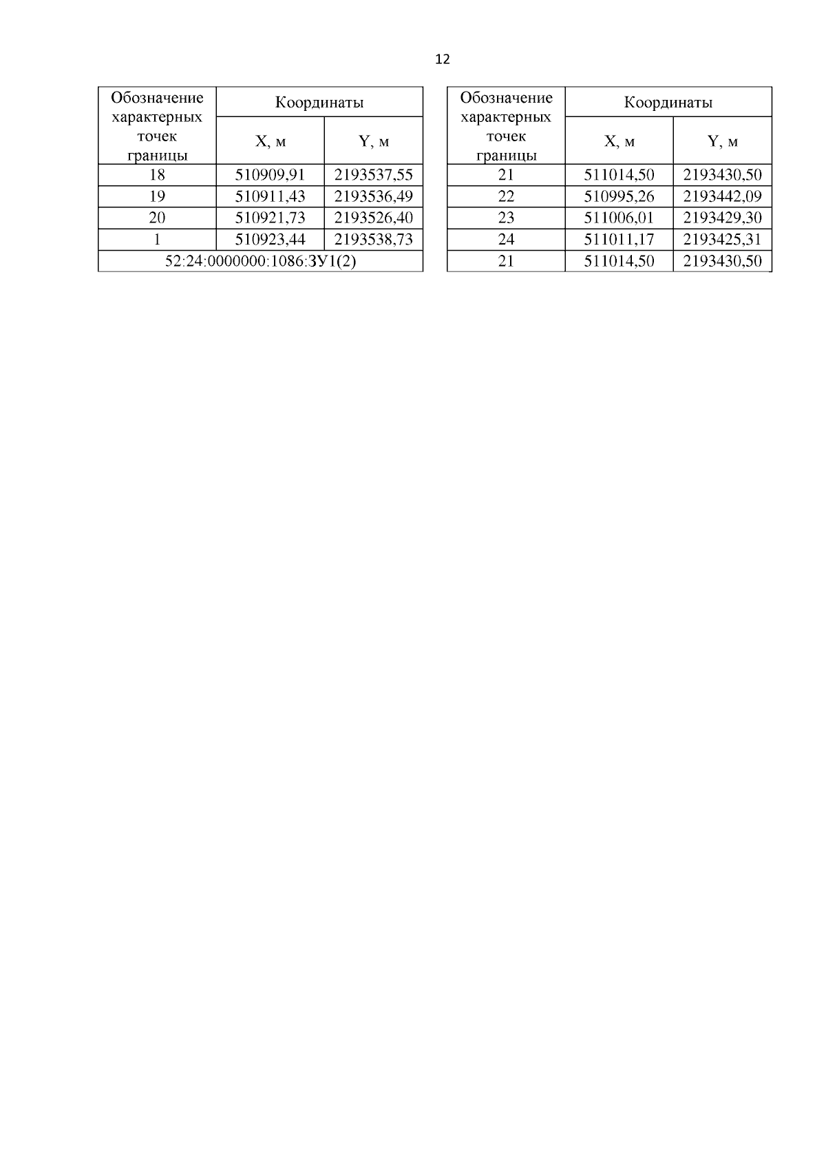
"Об утверждении документации по планировке территории (проекта планировки и межевания территории) в целях строительства линейного объекта: "Подземный газопровод давлением до 1, 2Мпа от точки присоединения к распределительному газопроводу до границы сети газопотребления по адресу: Нижегородская область, Богородский район, СНТ "Звезда-2" (ЗОП)" (О-3-1376БО/ИП-ИП)"
(Зарегистрирован 10.01.2024 № 24881-330-006-01-03/46)
Номер опубликования: 5201202401120003
Дата опубликования: 12.01.2024
Страница №14 из 26:
Увеличить