Приказ Министерства экологии и природных ресурсов Нижегородской области от 27.11.2023 № 319-289/23П/од
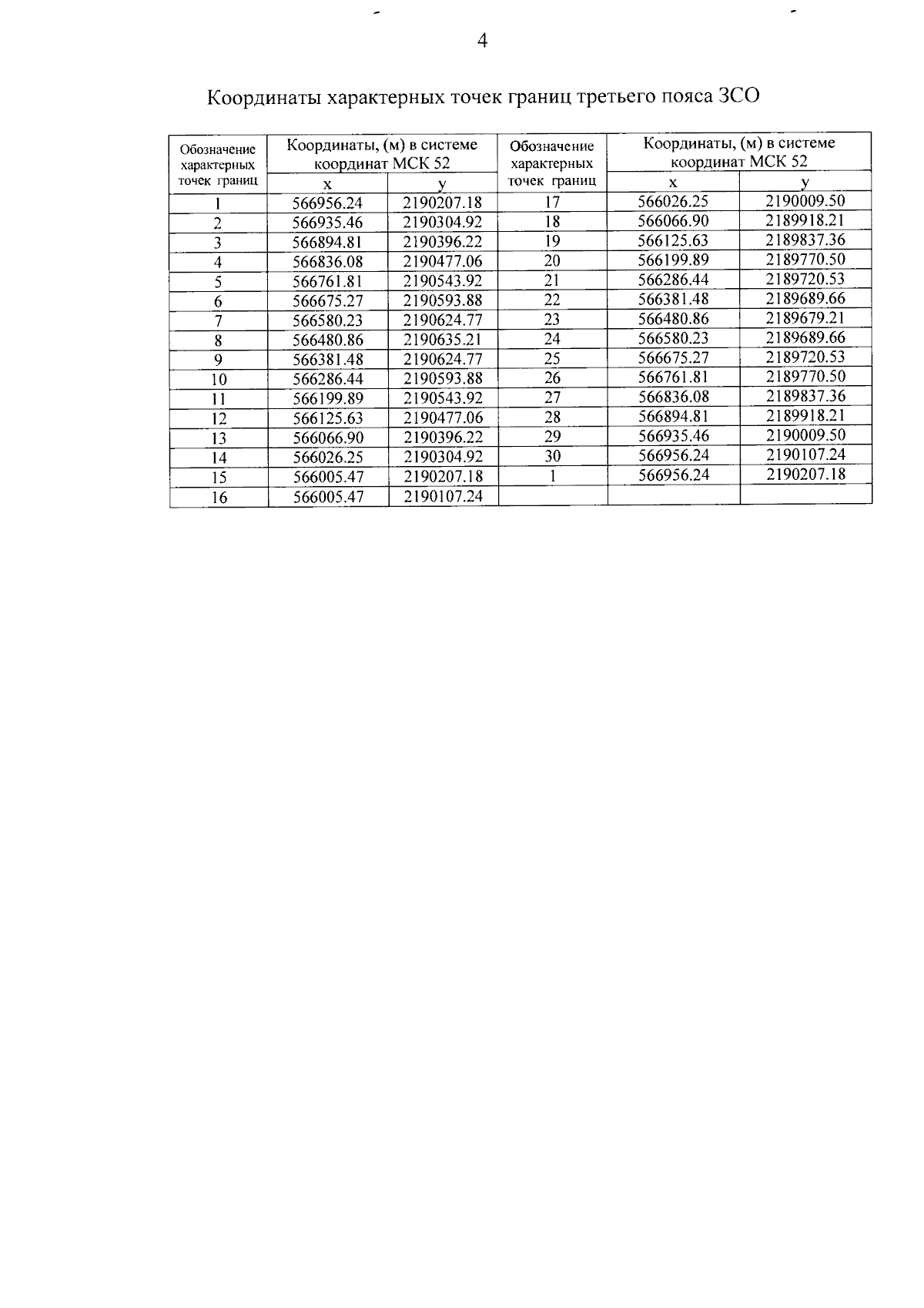
"Об установлении зоны санитарной охраны для водозаборного участка, расположенного в 1,6 км к юго-западу от д. Ломляево Городецкого муниципального округа Нижегородской области"
(Зарегистрирован 12.12.2023 № 24454-319-319-289/23П/од)
"Об установлении зоны санитарной охраны для водозаборного участка, расположенного в 1,6 км к юго-западу от д. Ломляево Городецкого муниципального округа Нижегородской области"
(Зарегистрирован 12.12.2023 № 24454-319-319-289/23П/од)
Номер опубликования: 5201202312150009
Дата опубликования:
15.12.2023
