Официальное опубликование правовых актов
ОФИЦИАЛЬНОЕ ОПУБЛИКОВАНИЕ
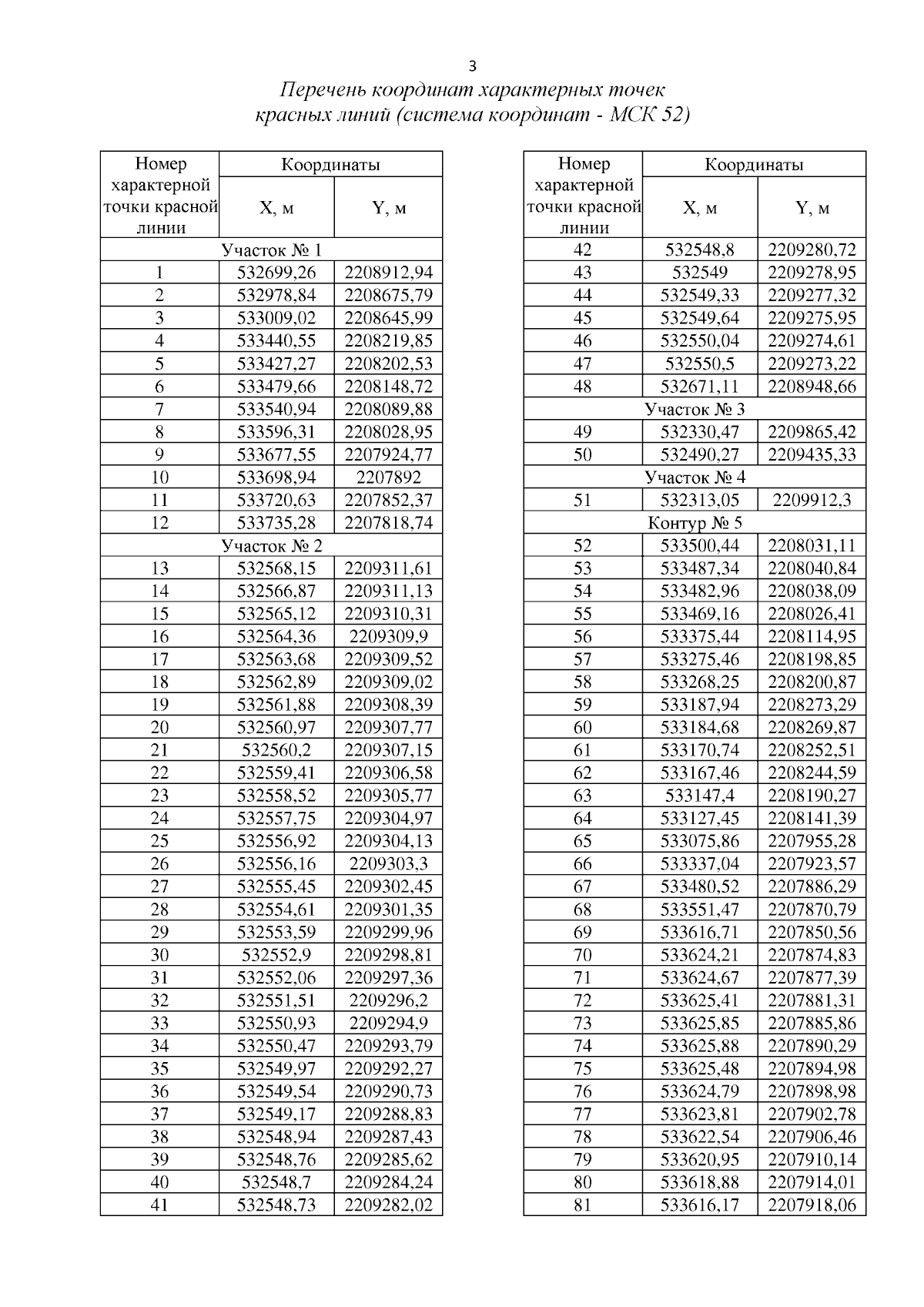
Приказ Министерства градостроительной деятельности и развития агломераций Нижегородской области от 16.11.2023 № 06-01-03/41
"Об утверждении документации по планировке (проект планировки и межевания) территории, расположенной по ул. Станционная, ул. Коминтерна, Сормовскому шоссе, ул. Бурнаковская в Сормовском и Московском районах г.о.г. Нижний Новгород"
(Зарегистрирован 12.12.2023 № 24460-330-006-01-03/41)
Номер опубликования: 5201202312130001
Дата опубликования: 13.12.2023
Страница №5 из 287:
Увеличить