Официальное опубликование правовых актов
ОФИЦИАЛЬНОЕ ОПУБЛИКОВАНИЕ
Приказ Министерства градостроительной деятельности и развития агломераций Нижегородской области от 04.10.2023 № 06-01-03/32
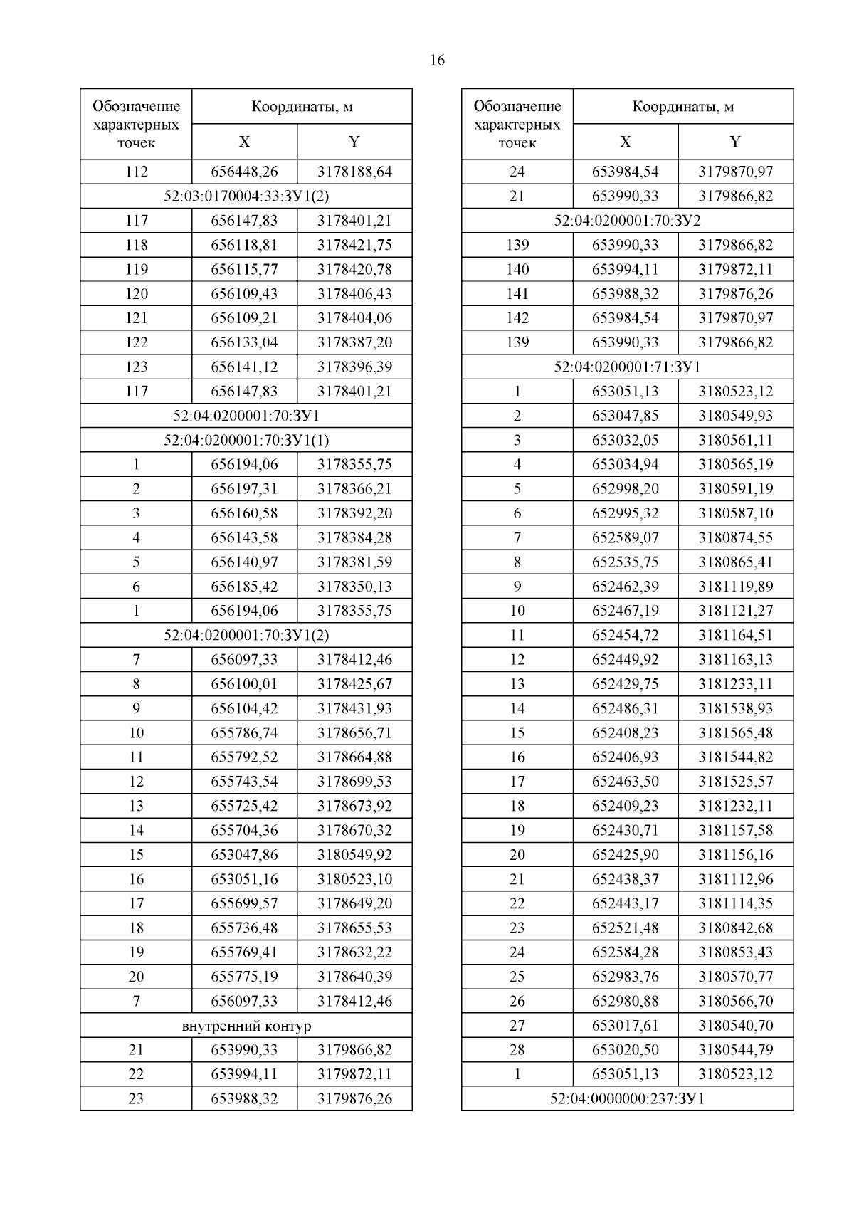
"Об утверждении документации по планировке территории, расположенной в Уренском муниципальном округе (от д. Обход), городском округе г. Шахунья, Тонкинском муниципальном округе (до р.п. Тонкино) Нижегородской области"
(Зарегистрирован 16.10.2023 № 23813-330-006-01-03/32)
Номер опубликования: 5201202310190001
Дата опубликования: 19.10.2023
Страница №18 из 85:
Увеличить