Официальное опубликование правовых актов
ОФИЦИАЛЬНОЕ ОПУБЛИКОВАНИЕ
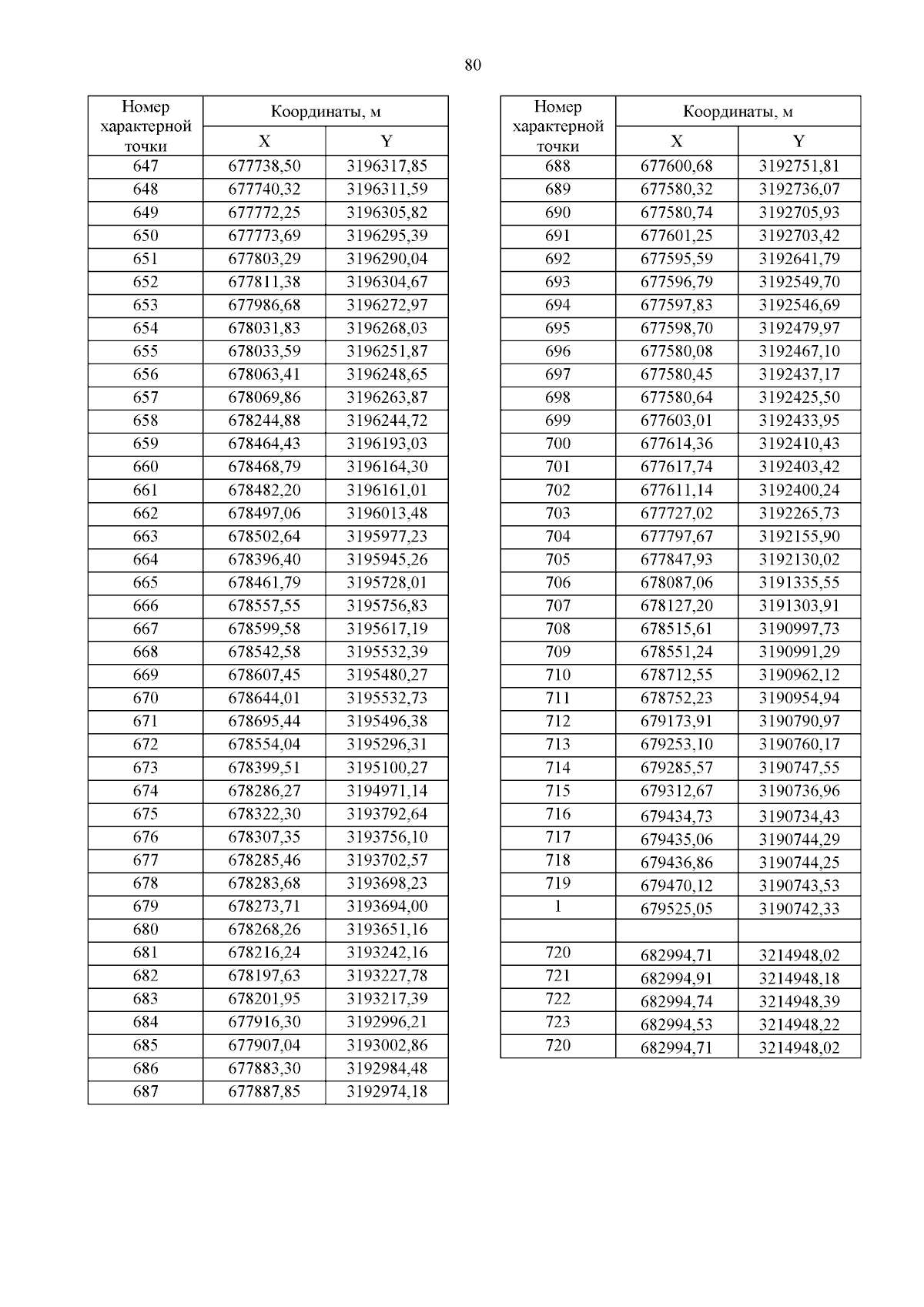
Приказ Министерства градостроительной деятельности и развития агломераций Нижегородской области от 28.09.2023 № 06-01-03/30
"Об утверждении документации по планировке территории, расположенной в городском округе город Шахунья и Тоншаевском муниципальном округе Нижегородской области"
(Зарегистрирован 10.10.2023 № 23797-330-006-01-03/30)
Номер опубликования: 5201202310130006
Дата опубликования: 13.10.2023
Страница №82 из 84:
Увеличить