Официальное опубликование правовых актов
ОФИЦИАЛЬНОЕ ОПУБЛИКОВАНИЕ
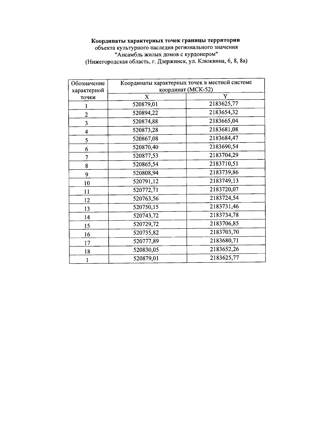
Приказ Управления государственной охраны объектов культурного наследия Нижегородской области от 22.08.2023 № 281
"Об утверждении границ и режима использования территорий объектов культурного наследия регионального значения, расположенных в г. Дзержинске Нижегородской области"
(Зарегистрирован 13.09.2023 № 23667-518-281)
Номер опубликования: 5201202309150007
Дата опубликования: 15.09.2023
Страница №6 из 8:
Увеличить