Официальное опубликование правовых актов
ОФИЦИАЛЬНОЕ ОПУБЛИКОВАНИЕ
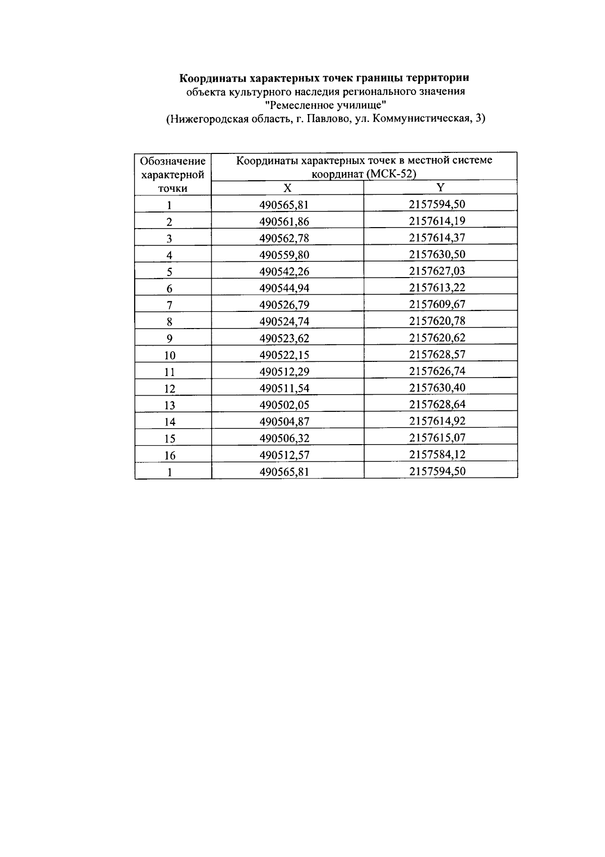
Приказ Управления государственной охраны объектов культурного наследия Нижегородской области от 22.08.2023 № 282
"Об утверждении границ и режима использования территорий объектов культурного наследия регионального значения, расположенных в г. Павлово Нижегородской области"
(Зарегистрирован 13.09.2023 № 23668-518-282)
Номер опубликования: 5201202309150006
Дата опубликования: 15.09.2023
Страница №4 из 10:
Увеличить