Официальное опубликование правовых актов
ОФИЦИАЛЬНОЕ ОПУБЛИКОВАНИЕ
Приказ Министерства экологии и природных ресурсов Нижегородской области от 01.09.2023 № 319-223/23П/од
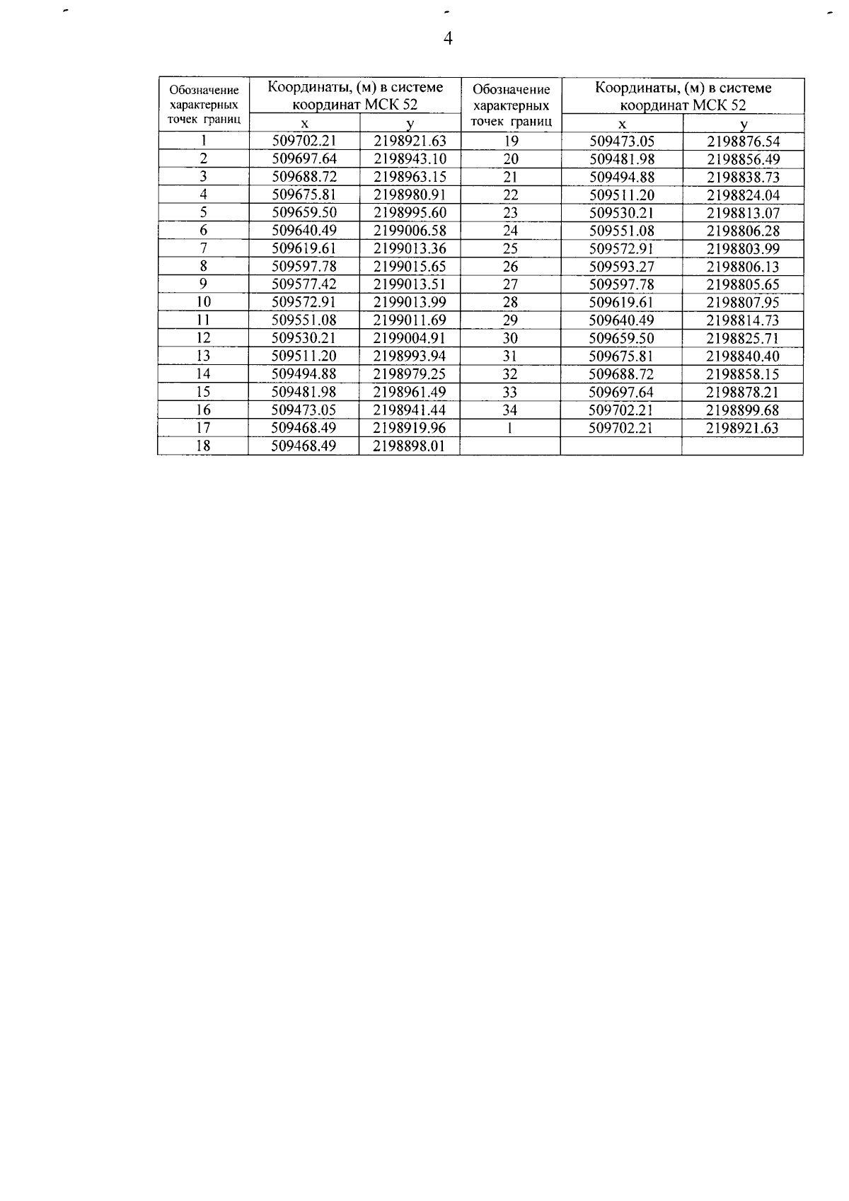
"Об установлении зоны санитарной охраны водозаборных скважин ТСН "Своя Земля" в д. Бурцево Богородского муниципального округа Нижегородской области"
(Зарегистрирован 13.09.2023 № 23670-319-319-223/23П/од)
Номер опубликования: 5201202309150004
Дата опубликования: 15.09.2023
Страница №6 из 6:
Увеличить