Официальное опубликование правовых актов
ОФИЦИАЛЬНОЕ ОПУБЛИКОВАНИЕ
Приказ Министерства экологии и природных ресурсов Нижегородской области от 26.07.2023 № 319-190/23П/од
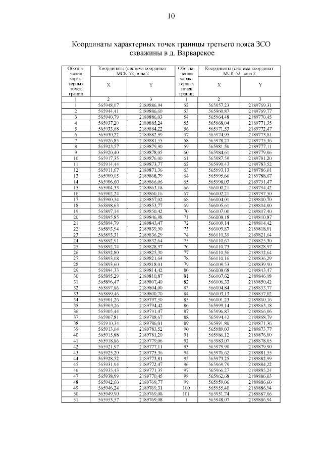
"Об установлении зон санитарной охраны подземных источников водоснабжения МУП "ЖКХ Кумохинское" в д. Авдеево, д. Безводное, д. Варварское, д. Кумохино, д. Мысово, д. Яровская Городецкого муниципального округа Нижегородской области"
(Зарегистрирован 03.08.2023 № 23464-319-319-190/23П/од)
Номер опубликования: 5201202308040003
Дата опубликования: 04.08.2023
Страница №12 из 24:
Увеличить