Официальное опубликование правовых актов
ОФИЦИАЛЬНОЕ ОПУБЛИКОВАНИЕ
Приказ Министерства градостроительной деятельности и развития агломераций Нижегородской области от 07.06.2023 № 07-02-03/58
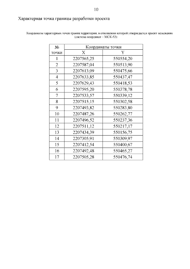
"Об утверждении проекта планировки территории в западной части д. Полежайки и проекта межевания территории земельного участка с кадастровым номером 52:15:0150147:1013 в д.Полежайки Зиняковского сельсовета Городецкого муниципального округа Нижегородской области"
(Зарегистрирован 11.07.2023 № 23330-330-007-02-03/58)
Номер опубликования: 5201202307120004
Дата опубликования: 12.07.2023
Страница №12 из 14:
Увеличить