Официальное опубликование правовых актов
ОФИЦИАЛЬНОЕ ОПУБЛИКОВАНИЕ
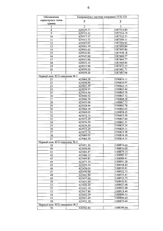
Приказ Министерства экологии и природных ресурсов Нижегородской области от 22.06.2023 № 319-155/23П/од
"Об установлении зон санитарной охраны водозаборных участков МУП "Коммунсервис" в р.п. Шаранга и д. Большой Рейчваж Шарангского муниципального округа Нижегородской области"
(Зарегистрирован 04.07.2023 № 23294-319-319-155/23П/од)
Номер опубликования: 5201202307050016
Дата опубликования: 05.07.2023
Страница №8 из 30:
Увеличить