Официальное опубликование правовых актов
ОФИЦИАЛЬНОЕ ОПУБЛИКОВАНИЕ
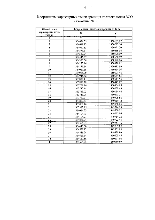
Приказ Министерства экологии и природных ресурсов Нижегородской области от 16.06.2023 № 319-150/23П/од
"Об установлении зон санитарной охраны водозаборной скважины Товарищества на вере "Нарышкинское - Чухманов и компания" в п. Заря Вознесенского муниципального округа Нижегородской области"
(Зарегистрирован 04.07.2023 № 23292-319-319-150/23П/од)
Номер опубликования: 5201202307050014
Дата опубликования: 05.07.2023
Страница №6 из 6:
Увеличить