Официальное опубликование правовых актов
ОФИЦИАЛЬНОЕ ОПУБЛИКОВАНИЕ
Приказ Управления государственной охраны объектов культурного наследия Нижегородской области от 21.06.2023 № 190
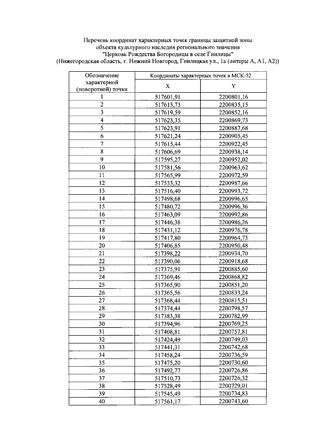
"Об утверждении описания местоположения границы защитной зоны объекта культурного наследия регионального значения "Церковь Рождества Богородицы в селе Гнилицы", расположенного на территории города Нижнего Новгорода, режима использования земель в границе защитной зоны объекта культурного наследия"
(Зарегистрирован 03.07.2023 № 23277-518-190)
Номер опубликования: 5201202307050003
Дата опубликования: 05.07.2023
Страница №4 из 6:
Увеличить