Официальное опубликование правовых актов
ОФИЦИАЛЬНОЕ ОПУБЛИКОВАНИЕ
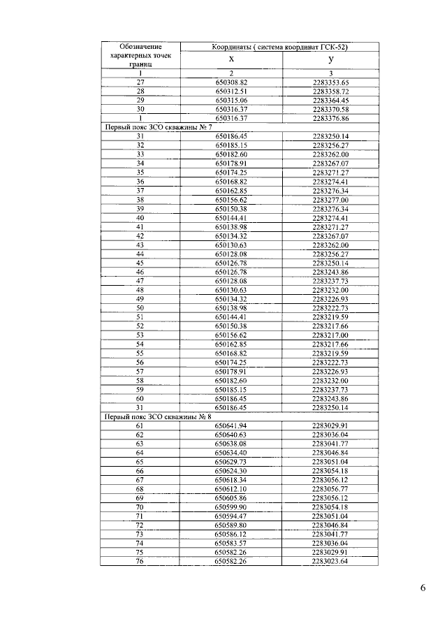
Приказ Министерства экологии и природных ресурсов Нижегородской области от 31.05.2023 № 319-133/23П/од
"Об установлении зон санитарной охраны водозаборного участка МУП "Варнавинкоммунсервис" (скважины №№ 6-8, 10) в р.п. Варнавино Варнавинского муниципального округа Нижегородской области"
(Зарегистрирован 15.06.2023 № 23191-319-319-133/23П/од)
Номер опубликования: 5201202306160001
Дата опубликования: 16.06.2023
Страница №6 из 14:
Увеличить