Официальное опубликование правовых актов
ОФИЦИАЛЬНОЕ ОПУБЛИКОВАНИЕ
Приказ Министерства экологии и природных ресурсов Нижегородской области от 05.05.2023 № 319-101/23П/од
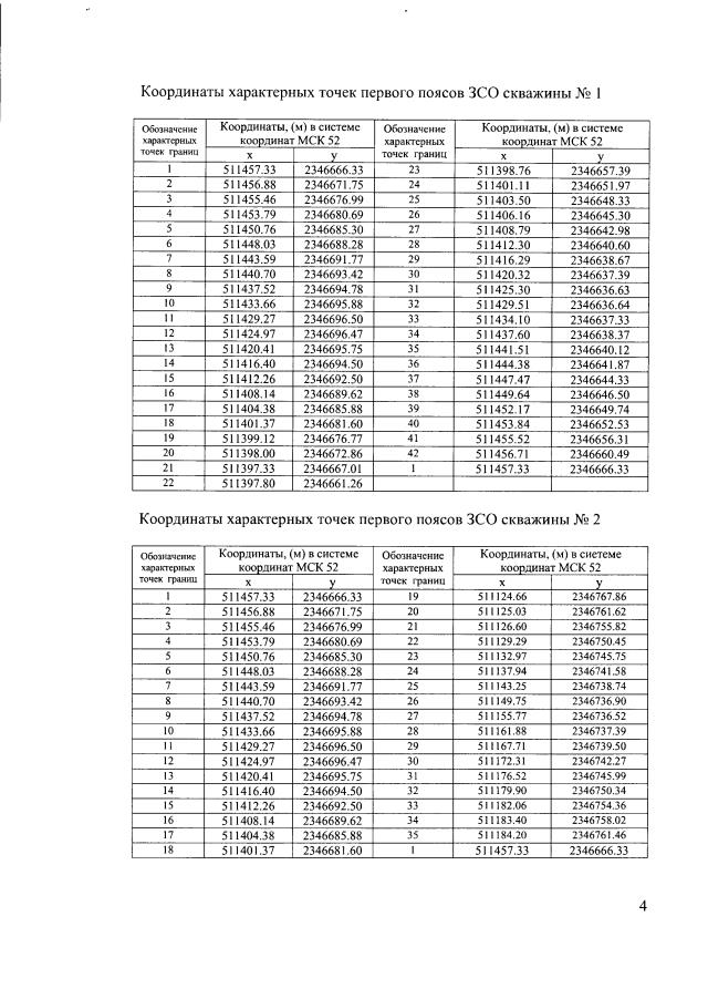
"Об установлении зон санитарной охраны водозабора подземных вод Нижегородского государственного университета им. Н.И. Лобачевского, расположенного на территории экспериментальной опытной базы (ЭОБ) в г.о. Воротынский Нижегородской области"
(Зарегистрирован 16.05.2023 № 23018-319-319-101/23П/од)
Номер опубликования: 5201202305170003
Дата опубликования: 17.05.2023
Страница №4 из 8:
Увеличить