Официальное опубликование правовых актов
ОФИЦИАЛЬНОЕ ОПУБЛИКОВАНИЕ
Приказ Министерства градостроительной деятельности и развития агломераций Нижегородской области от 04.04.2023 № 06-01-03/13
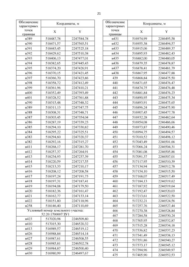
"Об утверждении документации по внесению изменений в документацию по планировке (проект межевания) территории для реконструкции участка автомобильной дороги (22 ОП МЗ 22Н-0728) Долгово-Память Парижской Коммуны км 0+000 - км 9+022, расположенной в городском округе г. Бор Нижегородской области"
(Зарегистрирован 25.04.2023 № 22929-330-006-01-03/13)
Номер опубликования: 5201202304270011
Дата опубликования: 27.04.2023
Страница №23 из 39:
Увеличить