Официальное опубликование правовых актов
ОФИЦИАЛЬНОЕ ОПУБЛИКОВАНИЕ
Приказ Министерства градостроительной деятельности и развития агломераций Нижегородской области от 27.03.2023 № 07-02-03/30
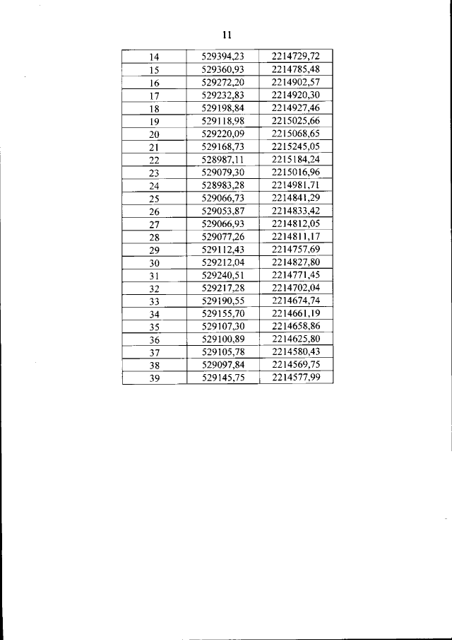
"Об утверждении проекта планировки территории в границах автодорожного подхода к метромосту, улиц Ярославская, Заломова, Обозная, Малая Ямская, Шевченко, 3-я Ямская, Дальняя и проекта межевания территории в границах улиц Большие овраги, Малая Ямская, Ильинская, Шевченко, Дальняя в Нижегородском районе города Нижнего Новгорода"
(Зарегистрирован 11.04.2023 № 22837-330-007-02-03/30)
Номер опубликования: 5201202304130008
Дата опубликования: 13.04.2023
Страница №13 из 18:
Увеличить