Официальное опубликование правовых актов
ОФИЦИАЛЬНОЕ ОПУБЛИКОВАНИЕ
Приказ Министерства градостроительной деятельности и развития агломераций Нижегородской области от 21.03.2023 № 06-01-03/10
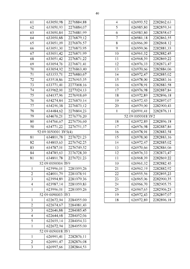
"Об утверждении документации по внесению изменений в проект планировки и межевания территории линейного объекта "Межпоселковый газопровод высокого давления р.п.Ветлужский - р.п. Варнавино Нижегородской области (межпоселковый газопровод высокого давления к населенным пунктам Краснобаковского района - 1 этап)"
(Зарегистрирован 11.04.2023 № 22834-330-006-01-03/10)
Номер опубликования: 5201202304130001
Дата опубликования: 13.04.2023
Страница №42 из 72:
Увеличить