Официальное опубликование правовых актов
ОФИЦИАЛЬНОЕ ОПУБЛИКОВАНИЕ
Приказ Министерства экологии и природных ресурсов Нижегородской области от 24.03.2023 № 319-66/1/23П/од
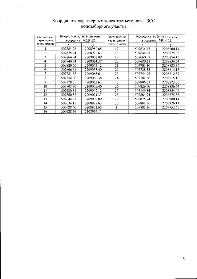
"Об установлении зон санитарной охраны водозаборного участка ГБУЗ НО "НОПНБ № 3", расположенного северо-западнее п. Комсомольский Богородского муниципального округа Нижегородской области"
(Зарегистрирован 05.04.2023 № 22810-319-319-66/1/23П/од)
Номер опубликования: 5201202304070002
Дата опубликования: 07.04.2023
Страница №5 из 5:
Увеличить