Официальное опубликование правовых актов
ОФИЦИАЛЬНОЕ ОПУБЛИКОВАНИЕ
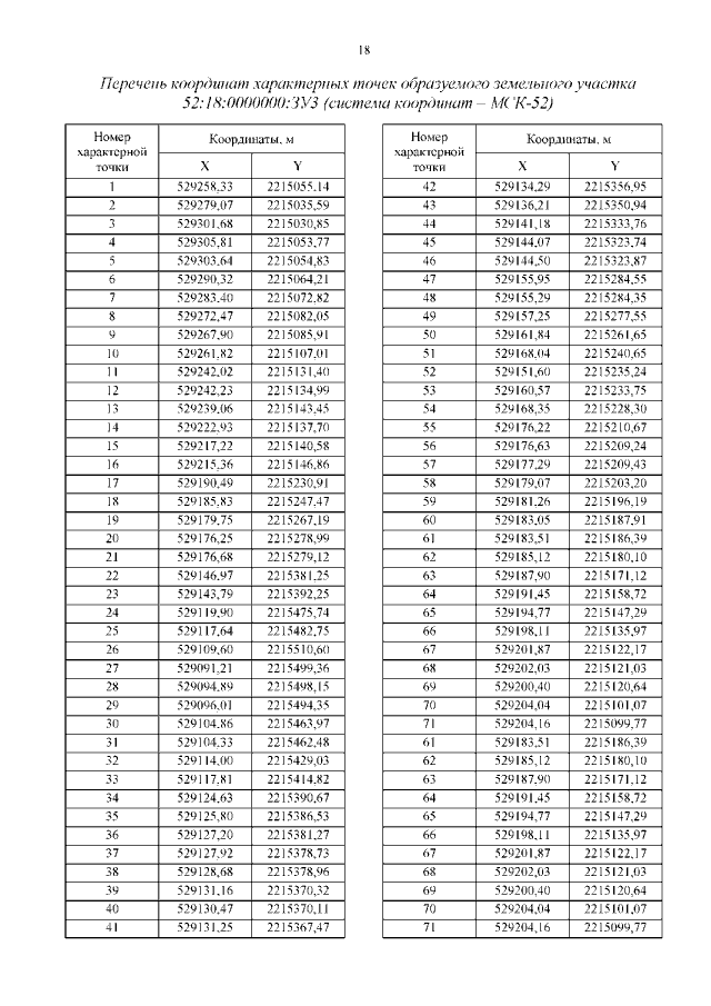
Приказ Министерства градостроительной деятельности и развития агломераций Нижегородской области от 03.03.2023 № 06-01-03/7
"Об утверждении документации по планировке территории, расположенной по ул. Маслякова от ул. Ильинская до ул. Малая Ямская в Нижегородском районе города Нижнего Новгорода"
(Зарегистрирован 27.03.2023 № 22743-330-006-01-03/7)
Номер опубликования: 5201202303290021
Дата опубликования: 29.03.2023
Страница №20 из 22:
Увеличить