Официальное опубликование правовых актов
ОФИЦИАЛЬНОЕ ОПУБЛИКОВАНИЕ
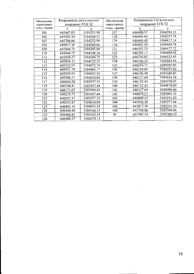
Приказ Министерства экологии и природных ресурсов Нижегородской области от 01.02.2023 № 319-20/23П/од
"Об установлении зон санитарной охраны водозаборного участка, расположенного в р.п.Тонкино Тонкинского муниципального округа Нижегородской области"
(Зарегистрирован 13.02.2023 № 22520-319-319-20/23П/од)
Номер опубликования: 5201202302160004
Дата опубликования: 16.02.2023
Страница №16 из 16:
Увеличить