Официальное опубликование правовых актов
ОФИЦИАЛЬНОЕ ОПУБЛИКОВАНИЕ
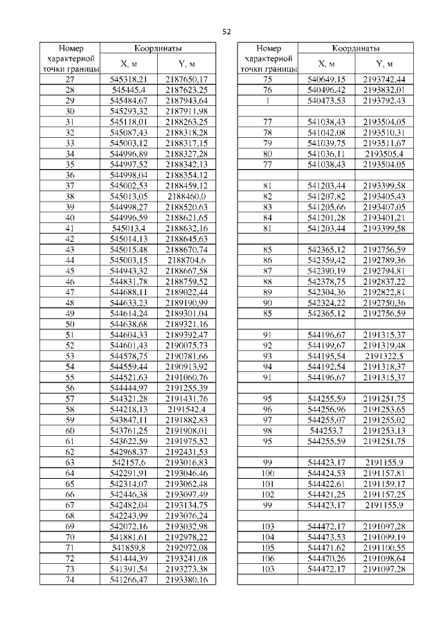
Приказ Министерства градостроительной деятельности и развития агломераций Нижегородской области от 26.12.2022 № 06-01-03/70 "Об утверждении проекта межевания территории, расположенной к западу от г. Балахны в Балахнинском муниципальном округе Нижегородской области в границах земель лесного фонда"
(Зарегистрирован 30.01.2023 № 22452-330-006-01-03/70)
Номер опубликования: 5201202302020003
Дата опубликования: 02.02.2023
Страница №54 из 57:
Увеличить