Официальное опубликование правовых актов
ОФИЦИАЛЬНОЕ ОПУБЛИКОВАНИЕ
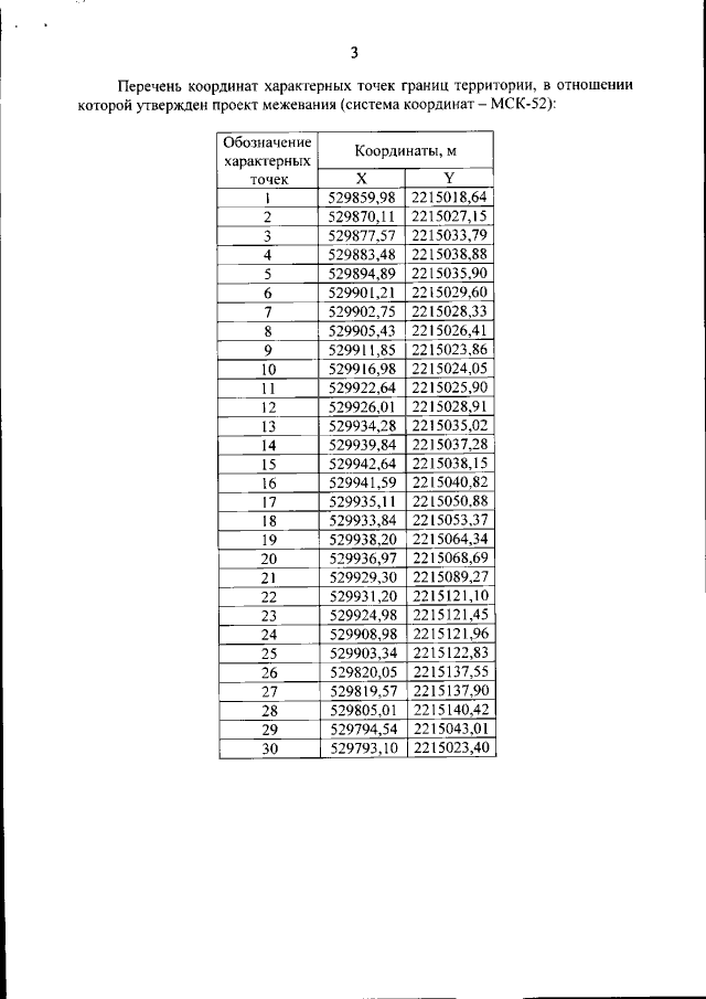
Приказ Министерства градостроительной деятельности и развития агломераций Нижегородской области от 28.12.2022 № 07-02-03/144
"Об утверждении документации по внесению изменений в проект межевания территории в границах улиц Малая Покровская, Заломова, набережной имени Федоровского, улицы Ильинская в Нижегородском районе города Нижнего Новгорода"
(Зарегистрирован 25.01.2023 № 22432-330-007-02-03/144)
Номер опубликования: 5201202301270021
Дата опубликования: 27.01.2023
Страница №5 из 6:
Увеличить