Официальное опубликование правовых актов
ОФИЦИАЛЬНОЕ ОПУБЛИКОВАНИЕ
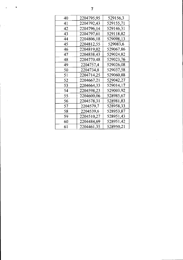
Приказ Министерства градостроительной деятельности и развития агломераций Нижегородской области от 21.12.2022 № 07-02-03/130
"Об утверждении документации по планировке территории (проект планировки территории, включая проект межевания территории) садоводческого кооператива "Балтика" по Московскому шоссе в Московском районе города Нижнего Новгорода"
(Зарегистрирован 18.01.2023 № 22355-330-007-02-03/130)
Номер опубликования: 5201202301200008
Дата опубликования: 20.01.2023
Страница №9 из 12:
Увеличить