Официальное опубликование правовых актов
ОФИЦИАЛЬНОЕ ОПУБЛИКОВАНИЕ
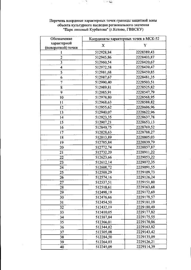
Приказ Управления государственной охраны объектов культурного наследия Нижегородской области от 02.12.2022 № 489
"О внесении изменений в приказ управления государственной охраны объектов культурного наследия Нижегородской области от 27.09.2019 № 281"
(Зарегистрирован 23.12.2022 № 22216-518-489)
Номер опубликования: 5201202212290005
Дата опубликования: 29.12.2022
Страница №3 из 6:
Увеличить