Официальное опубликование правовых актов
ОФИЦИАЛЬНОЕ ОПУБЛИКОВАНИЕ
Приказ Управления государственной охраны объектов культурного наследия Нижегородской области от 14.11.2022 № 458
"О внесении изменений в некоторые приказы управления государственной охраны объектов культурного наследия Нижегородской области"
(Зарегистрирован 05.12.2022 № 22077-518-458)
Номер опубликования: 5201202212070004
Дата опубликования: 07.12.2022
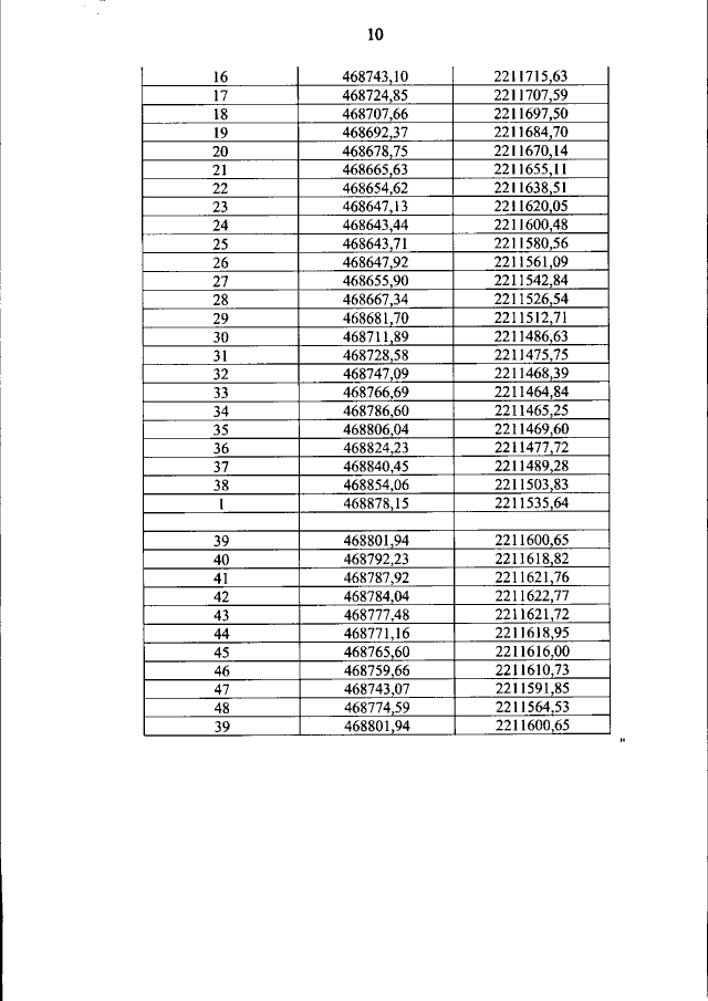
Страница №10 из 10:
Увеличить